Официальное опубликование правовых актов
ОФИЦИАЛЬНОЕ ОПУБЛИКОВАНИЕ
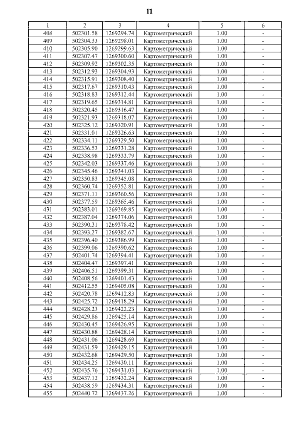
Приказ министерства архитектуры и градостроительства Воронежской области от 09.12.2024 № 45-01-04/577
"О внесении изменений в правила землепользования и застройки Хохольского городского поселения Хохольского муниципального района Воронежской области"
(Зарегистрирован 26.12.2024 № 2012)
Номер опубликования: 3601202412280133
Дата опубликования: 28.12.2024
Страница №19 из 364:
Увеличить