Официальное опубликование правовых актов
ОФИЦИАЛЬНОЕ ОПУБЛИКОВАНИЕ
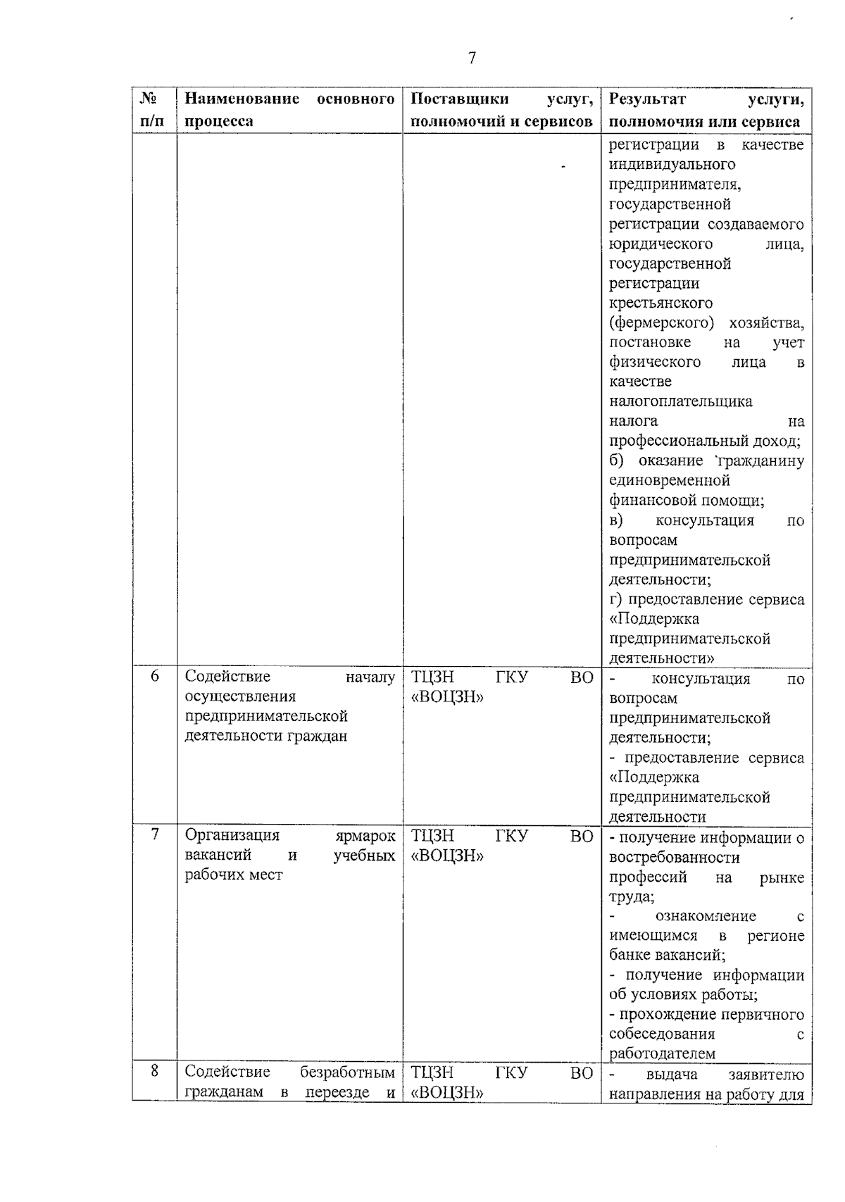
Приказ министерства труда и занятости населения Воронежской области от 04.12.2024 № 300
"Об утверждении порядков оказания комплексов услуг (сервисов), полномочий и (или) дополнительных услуг в соответствии с 10 жизненными ситуациями и бизнес-ситуациями"
(Зарегистрирован 19.12.2024 № 1723)
Номер опубликования: 3601202412260021
Дата опубликования: 26.12.2024
Страница №37 из 151:
Увеличить