Официальное опубликование правовых актов
ОФИЦИАЛЬНОЕ ОПУБЛИКОВАНИЕ
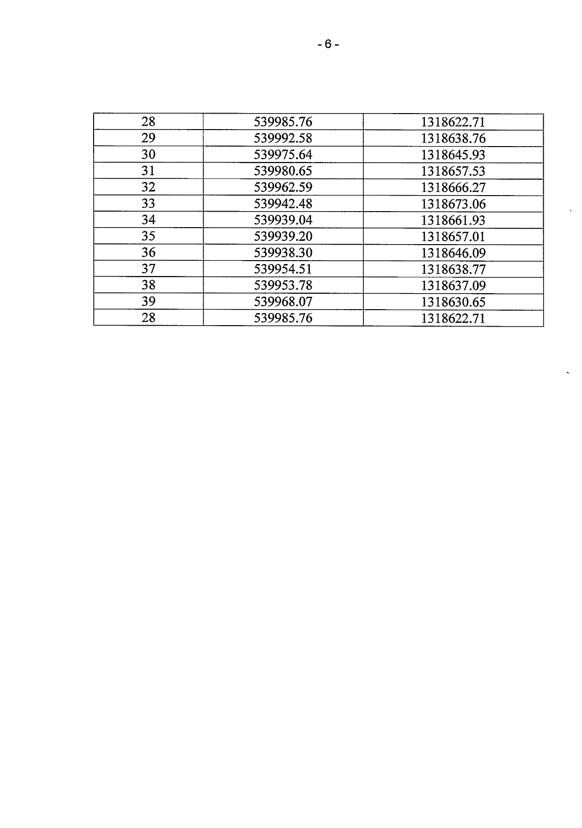
Приказ управления по охране объектов культурного наследия Воронежской области от 22.11.2024 № 71-01-07/598
"Об утверждении границ территорий объектов культурного наследия регионального значения, расположенных на территории Рамонского муниципального района Воронежской области"
(Зарегистрирован 13.12.2024 № 1633)
Номер опубликования: 3601202412160012
Дата опубликования: 16.12.2024
Страница №6 из 8:
Увеличить