Официальное опубликование правовых актов
ОФИЦИАЛЬНОЕ ОПУБЛИКОВАНИЕ
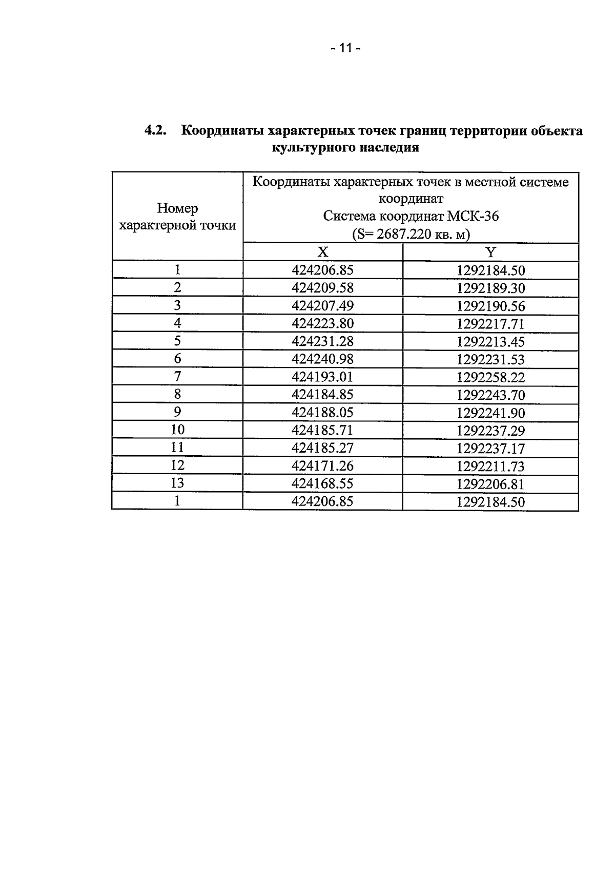
Приказ управления по охране объектов культурного наследия Воронежской области от 22.11.2024 № 71-01-07/602
"Об утверждении границ территорий объектов культурного наследия регионального значения, расположенных на территории Острогожского муниципального района Воронежской области"
(Зарегистрирован 10.12.2024 № 1614)
Номер опубликования: 3601202412110058
Дата опубликования: 11.12.2024
Страница №11 из 73:
Увеличить