Официальное опубликование правовых актов
ОФИЦИАЛЬНОЕ ОПУБЛИКОВАНИЕ
Приказ министерства тарифного регулирования Воронежской области от 26.11.2024 № 53/41
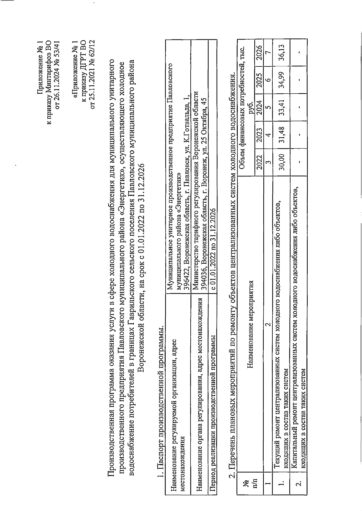
"О внесении изменений в приказ ДГРТ ВО от 25.11.2021 № 62/12 "Об установлении долгосрочных параметров регулирования деятельности и тарифов на питьевую воду (питьевое водоснабжение) для муниципального унитарного производственного предприятия Павловского муниципального района "Энергетик", осуществляющего холодное водоснабжение потребителей в границах Гаврильского сельского поселения Павловского муниципального района Воронежской области, на период 2022-2026 годов"
(Зарегистрирован 03.12.2024 № 1506)
Номер опубликования: 3601202412050050
Дата опубликования: 05.12.2024
Страница №3 из 7:
Увеличить