Официальное опубликование правовых актов
ОФИЦИАЛЬНОЕ ОПУБЛИКОВАНИЕ
Приказ министерства архитектуры и градостроительства Воронежской области от 13.11.2024 № 45-01-04/514
"О внесении изменений в правила землепользования и застройки Верхнетуровского сельского поселения Нижнедевицкого муниципального района Воронежской области"
(Зарегистрирован 02.12.2024 № 1480)
Номер опубликования: 3601202412050002
Дата опубликования: 05.12.2024
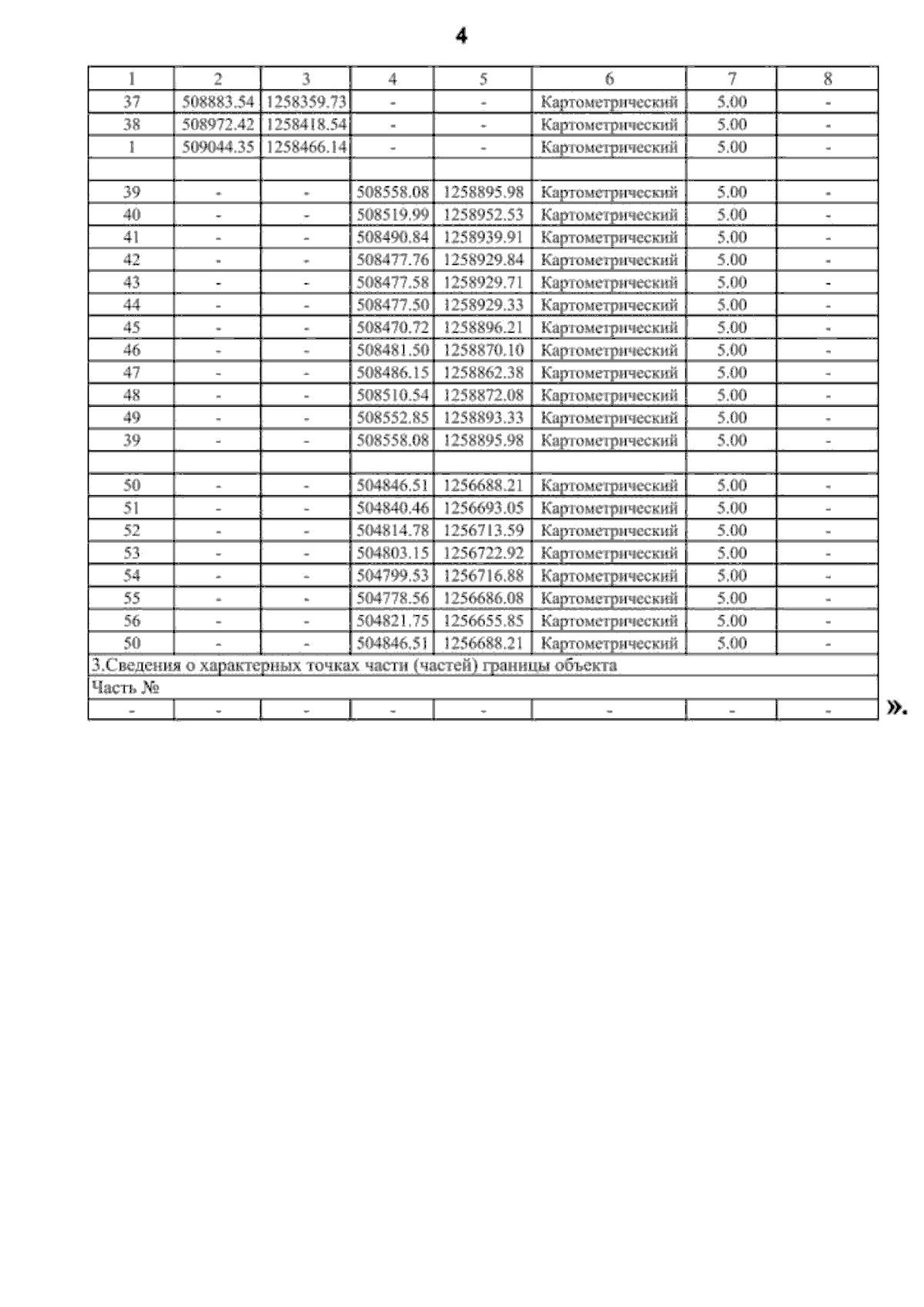
Страница №73 из 149:
Увеличить