Официальное опубликование правовых актов
ОФИЦИАЛЬНОЕ ОПУБЛИКОВАНИЕ
Приказ министерства архитектуры и градостроительства Воронежской области от 13.11.2024 № 45-01-04/516
"О внесении изменений в правила землепользования и застройки Лизиновского сельского поселения Россошанского муниципального района Воронежской области"
(Зарегистрирован 03.12.2024 № 1482)
Номер опубликования: 3601202412050001
Дата опубликования: 05.12.2024
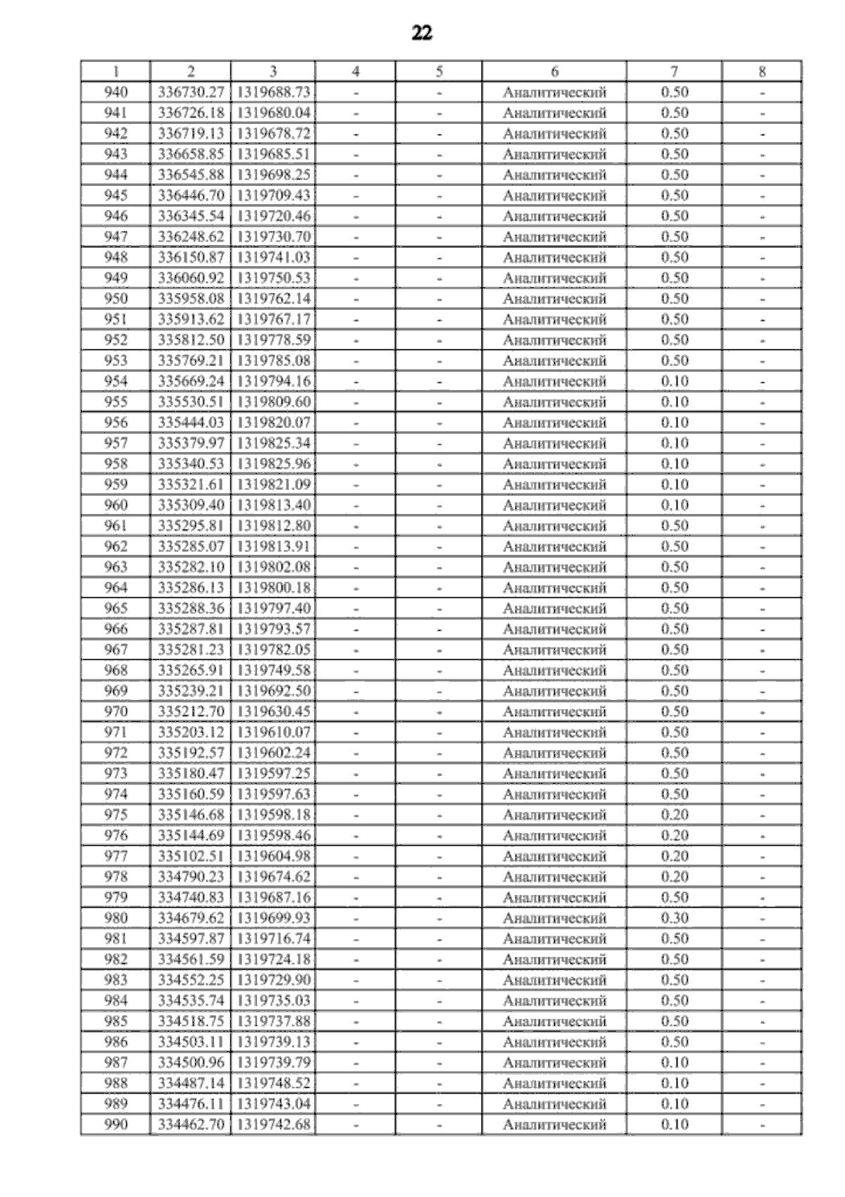
Страница №58 из 66:
Увеличить