Официальное опубликование правовых актов
ОФИЦИАЛЬНОЕ ОПУБЛИКОВАНИЕ
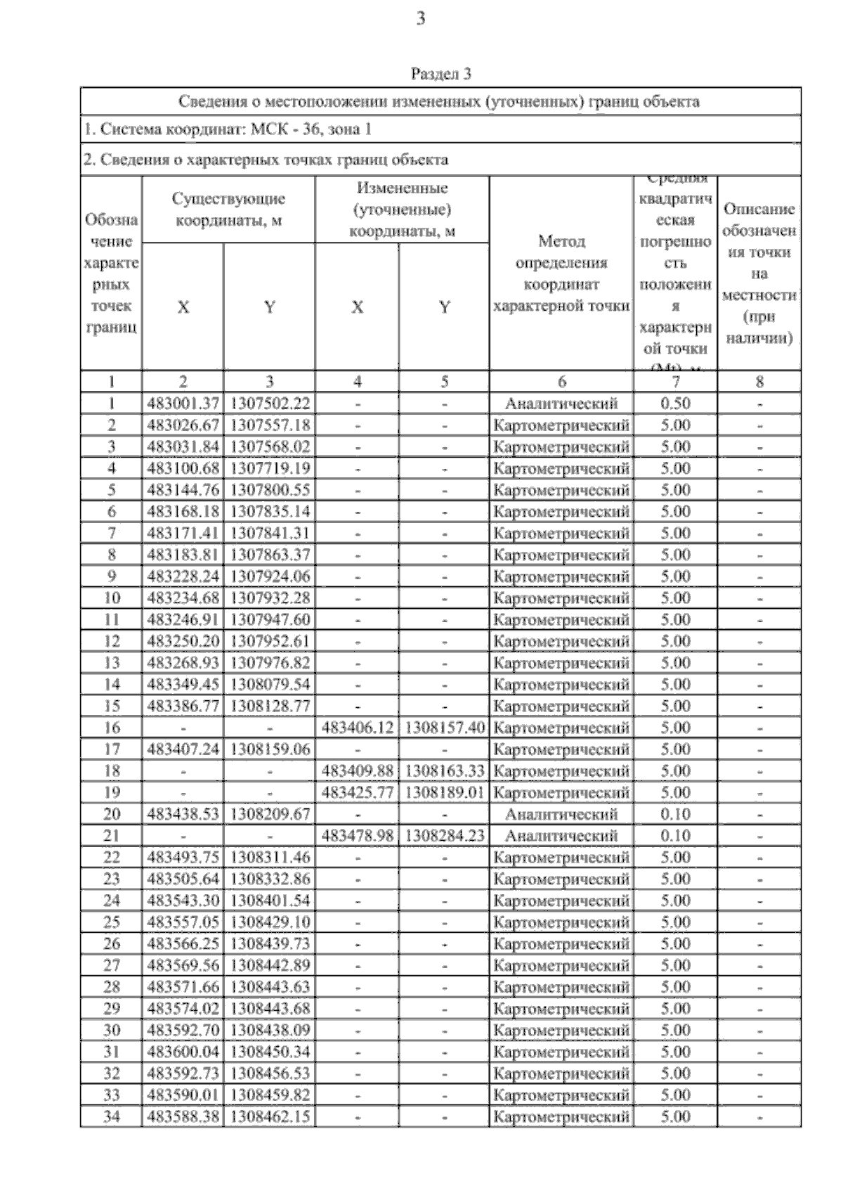
Приказ министерства архитектуры и градостроительства Воронежской области от 08.11.2024 № 45-01-04/509
"О внесении изменений в правила землепользования и застройки Боевского сельского поселения Каширского муниципального района Воронежской области"
(Зарегистрирован 28.11.2024 № 1462)
Номер опубликования: 3601202412030007
Дата опубликования: 03.12.2024
Страница №27 из 39:
Увеличить