Официальное опубликование правовых актов
ОФИЦИАЛЬНОЕ ОПУБЛИКОВАНИЕ
Приказ министерства архитектуры и градостроительства Воронежской области от 08.11.2024 № 45-01-04/511
"О внесении изменений в правила землепользования и застройки Великоархангельского сельского поселения Бутурлиновского муниципального района Воронежской области"
(Зарегистрирован 28.11.2024 № 1463)
Номер опубликования: 3601202412030006
Дата опубликования: 03.12.2024
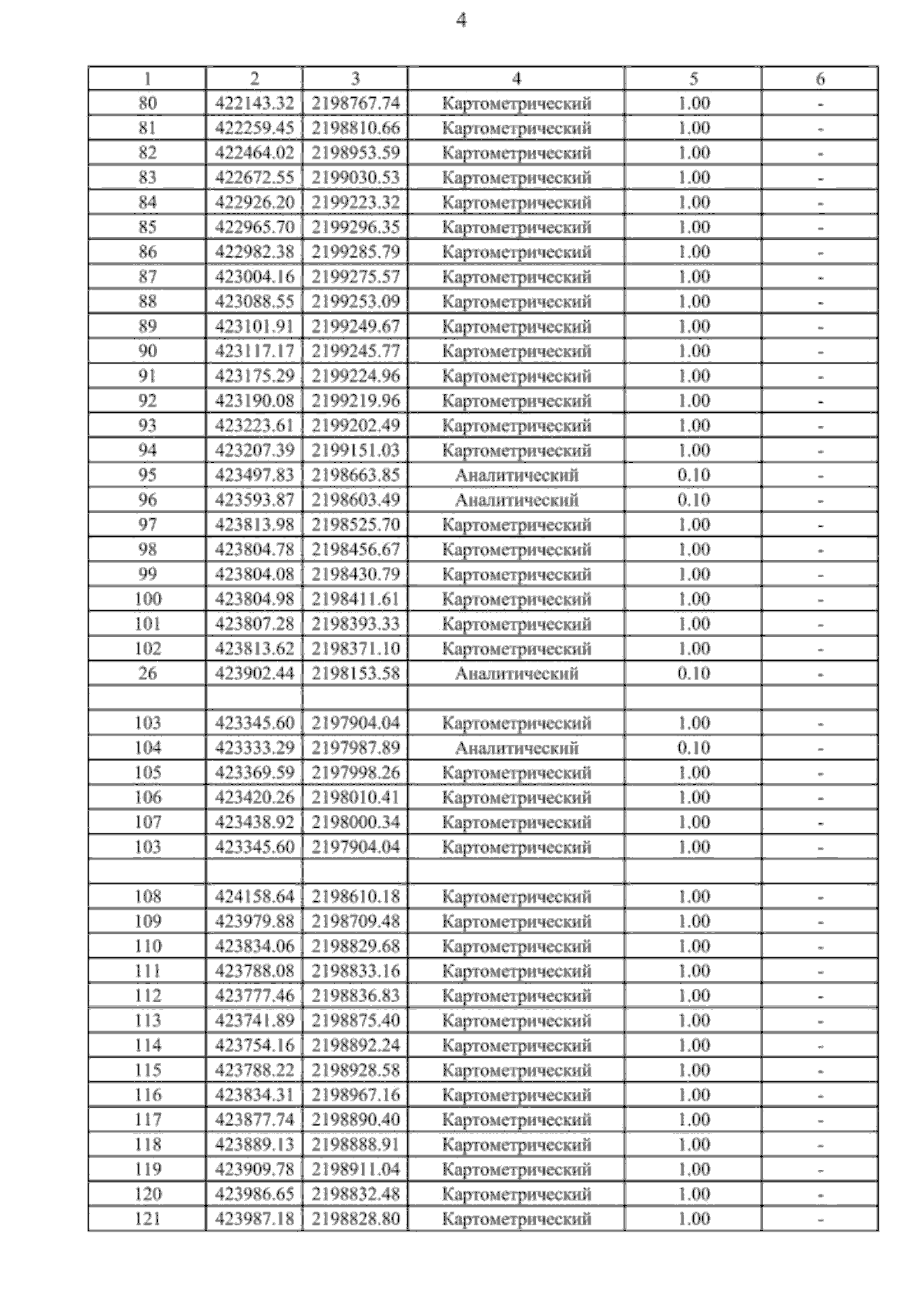
Страница №34 из 37:
Увеличить