Официальное опубликование правовых актов
ОФИЦИАЛЬНОЕ ОПУБЛИКОВАНИЕ
Приказ министерства архитектуры и градостроительства Воронежской области от 01.11.2024 № 45-01-04/493
"О внесении изменений в правила землепользования и застройки Мосальского сельского поселения Каширского муниципального района Воронежской области"
(Зарегистрирован 21.11.2024 № 1408)
Номер опубликования: 3601202411220003
Дата опубликования: 22.11.2024
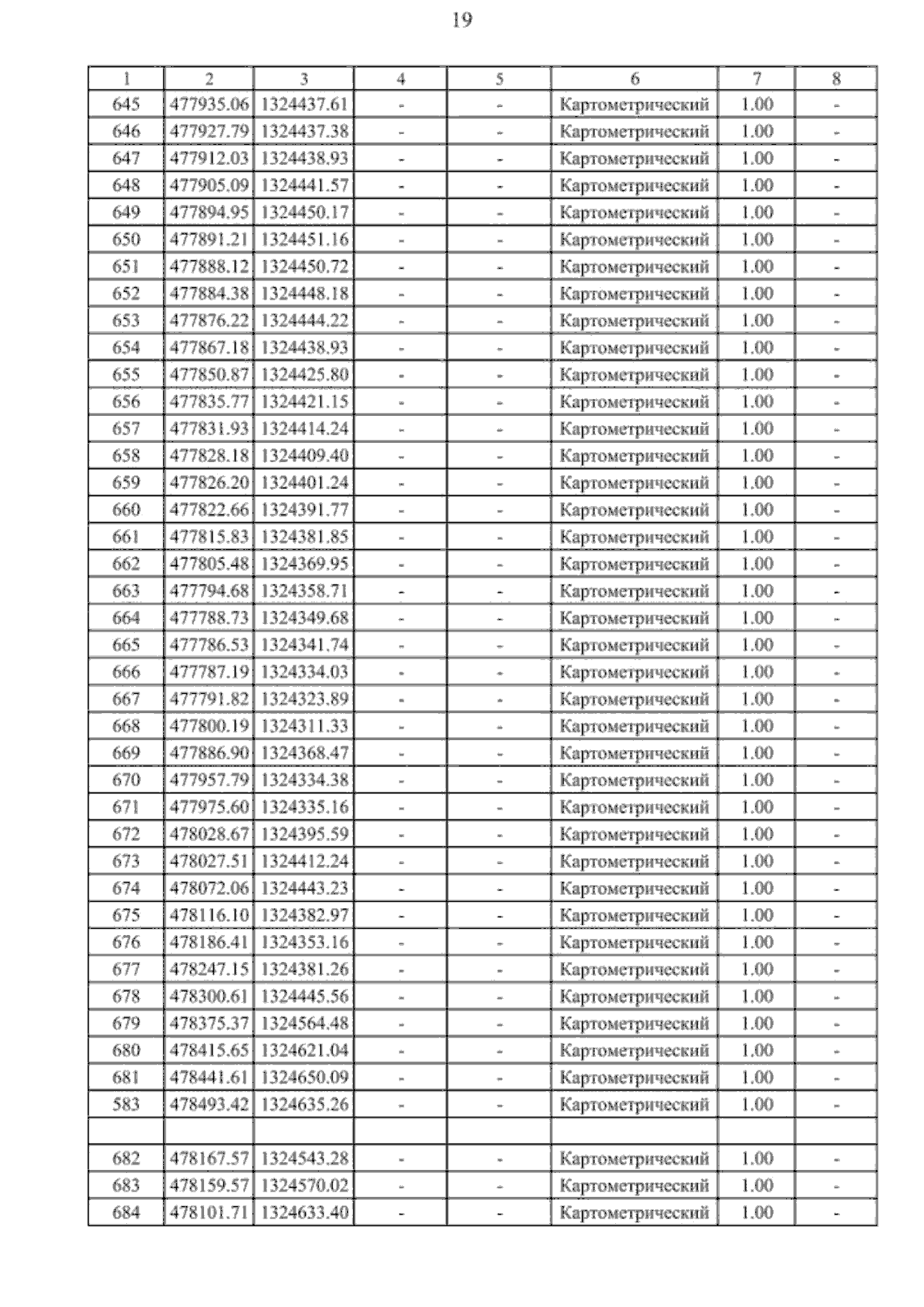
Страница №55 из 61:
Увеличить