Официальное опубликование правовых актов
ОФИЦИАЛЬНОЕ ОПУБЛИКОВАНИЕ
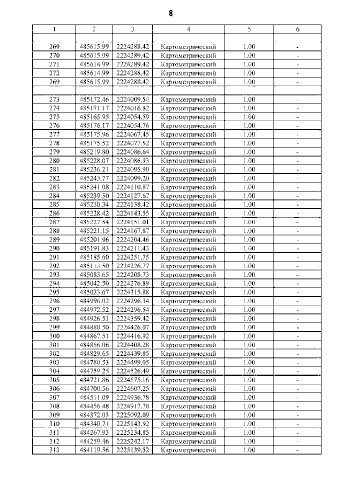
Приказ министерства архитектуры и градостроительства Воронежской области от 01.11.2024 № 45-01-04/492
"О внесении изменений в правила землепользования и застройки Рамоньского сельского поселения Аннинского муниципального района Воронежской области"
(Зарегистрирован 20.11.2024 № 1405)
Номер опубликования: 3601202411210011
Дата опубликования: 21.11.2024
Страница №14 из 23:
Увеличить