Официальное опубликование правовых актов
ОФИЦИАЛЬНОЕ ОПУБЛИКОВАНИЕ
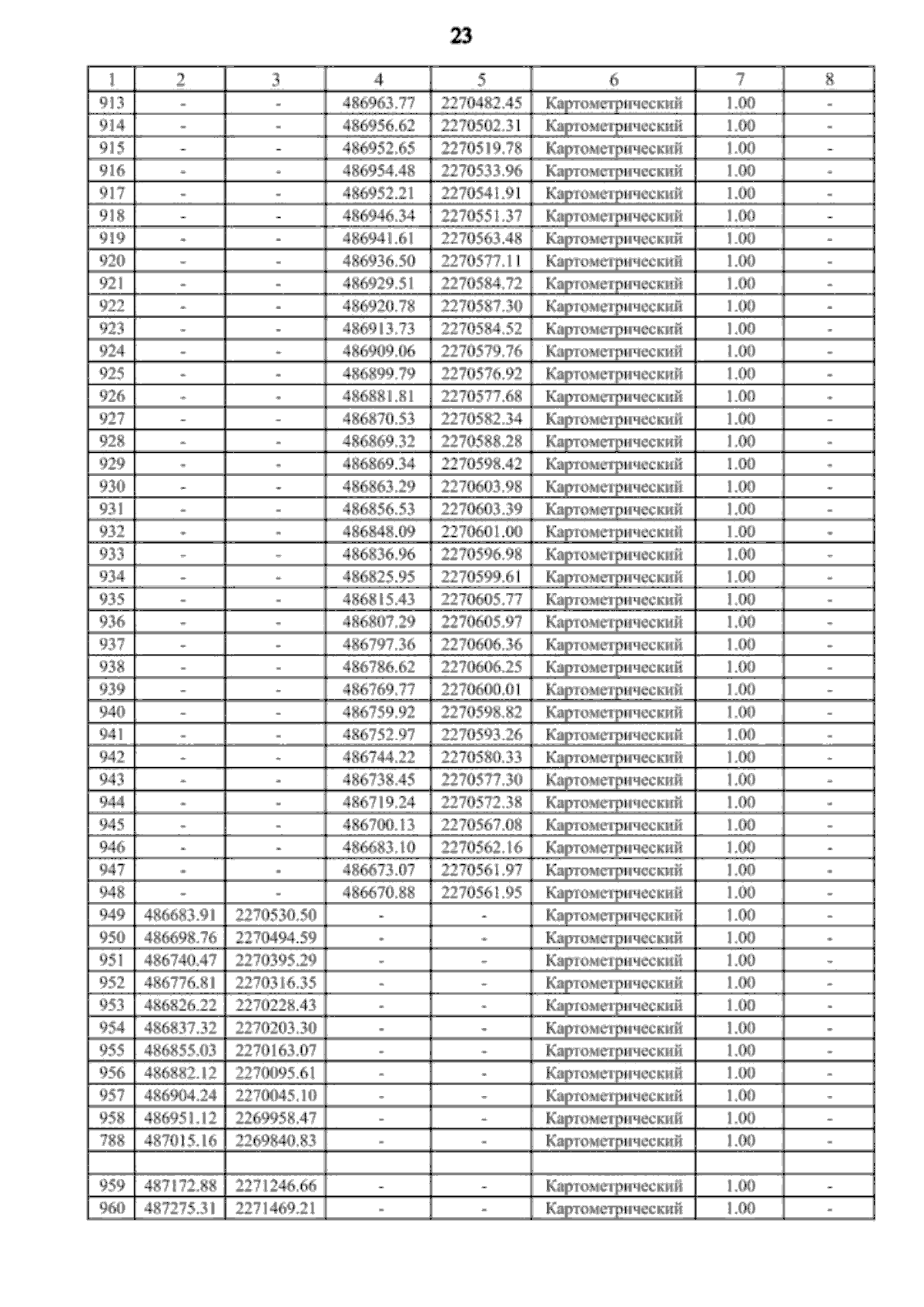
Приказ министерства архитектуры и градостроительства Воронежской области от 01.11.2024 № 45-01-04/490
"О внесении изменений в правила землепользования и застройки Кирсановского сельского поселения Грибановского муниципального района Воронежской области"
(Зарегистрирован 20.11.2024 № 1403)
Номер опубликования: 3601202411210008
Дата опубликования: 21.11.2024
Страница №68 из 78:
Увеличить