Официальное опубликование правовых актов
ОФИЦИАЛЬНОЕ ОПУБЛИКОВАНИЕ
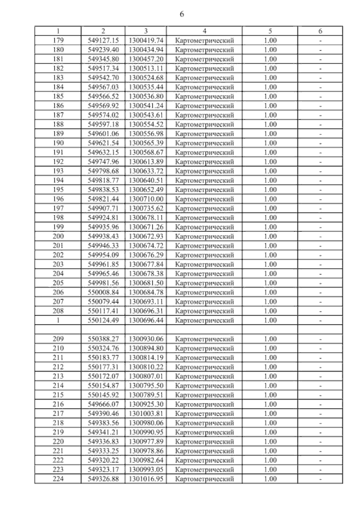
Приказ министерства архитектуры и градостроительства Воронежской области от 06.11.2024 № 45-01-04/501
"О внесении изменений в правила землепользования и застройки Комсомольского сельского поселения Рамонского муниципального района Воронежской области"
(Зарегистрирован 15.11.2024 № 1365)
Номер опубликования: 3601202411190001
Дата опубликования: 19.11.2024
Страница №17 из 34:
Увеличить