Официальное опубликование правовых актов
ОФИЦИАЛЬНОЕ ОПУБЛИКОВАНИЕ
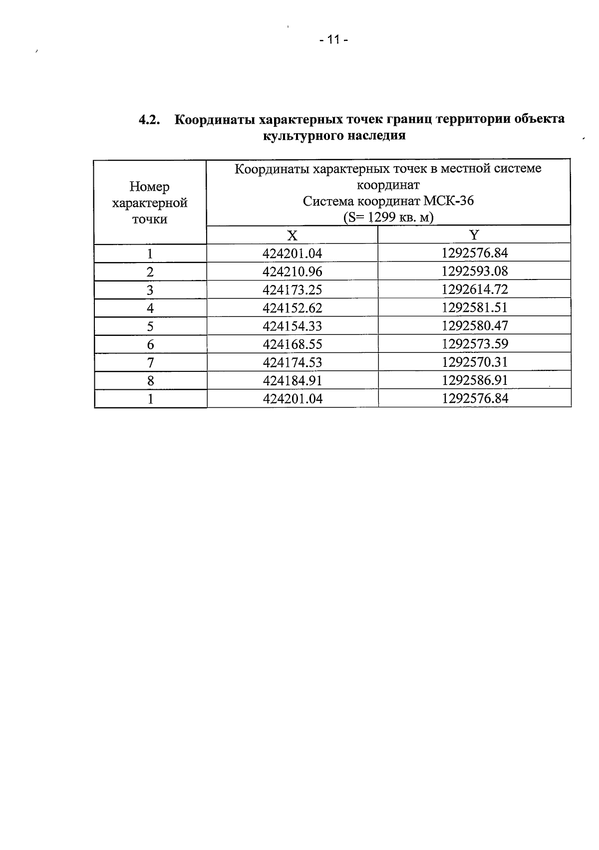
Приказ управления по охране объектов культурного наследия Воронежской области от 05.11.2024 № 71-01-07/516
"Об утверждении границ территорий объектов культурного наследия регионального значения, расположенных на территории Воронежской области"
(Зарегистрирован 15.11.2024 № 1364)
Номер опубликования: 3601202411180002
Дата опубликования: 18.11.2024
Страница №11 из 34:
Увеличить