Официальное опубликование правовых актов
ОФИЦИАЛЬНОЕ ОПУБЛИКОВАНИЕ
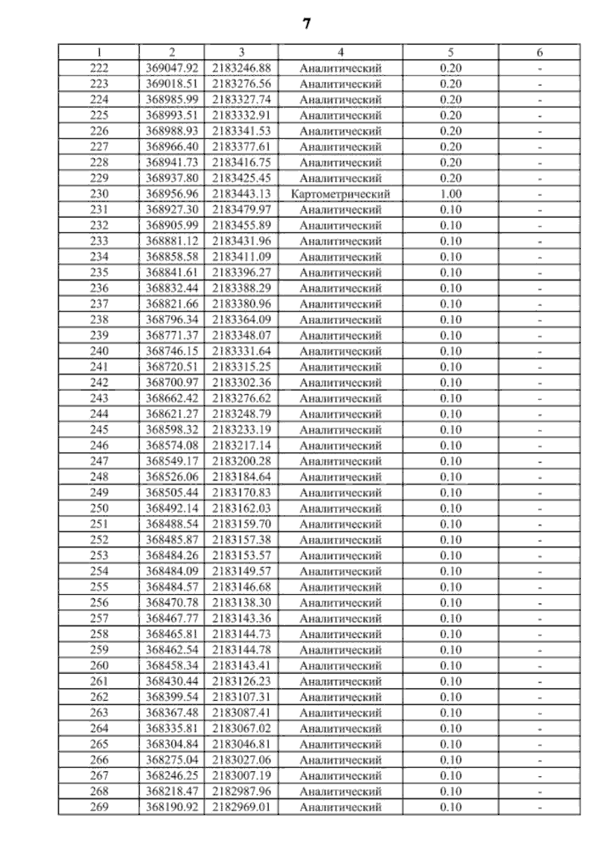
Приказ министерства архитектуры и градостроительства Воронежской области от 30.10.2024 № 45-01-04/467
"О внесении изменений в правила землепользования и застройки Русско-Журавского сельского поселения Верхнемамонского муниципального района Воронежской области"
(Зарегистрирован 13.11.2024 № 1350)
Номер опубликования: 3601202411140002
Дата опубликования: 14.11.2024
Страница №16 из 32:
Увеличить