Официальное опубликование правовых актов
ОФИЦИАЛЬНОЕ ОПУБЛИКОВАНИЕ
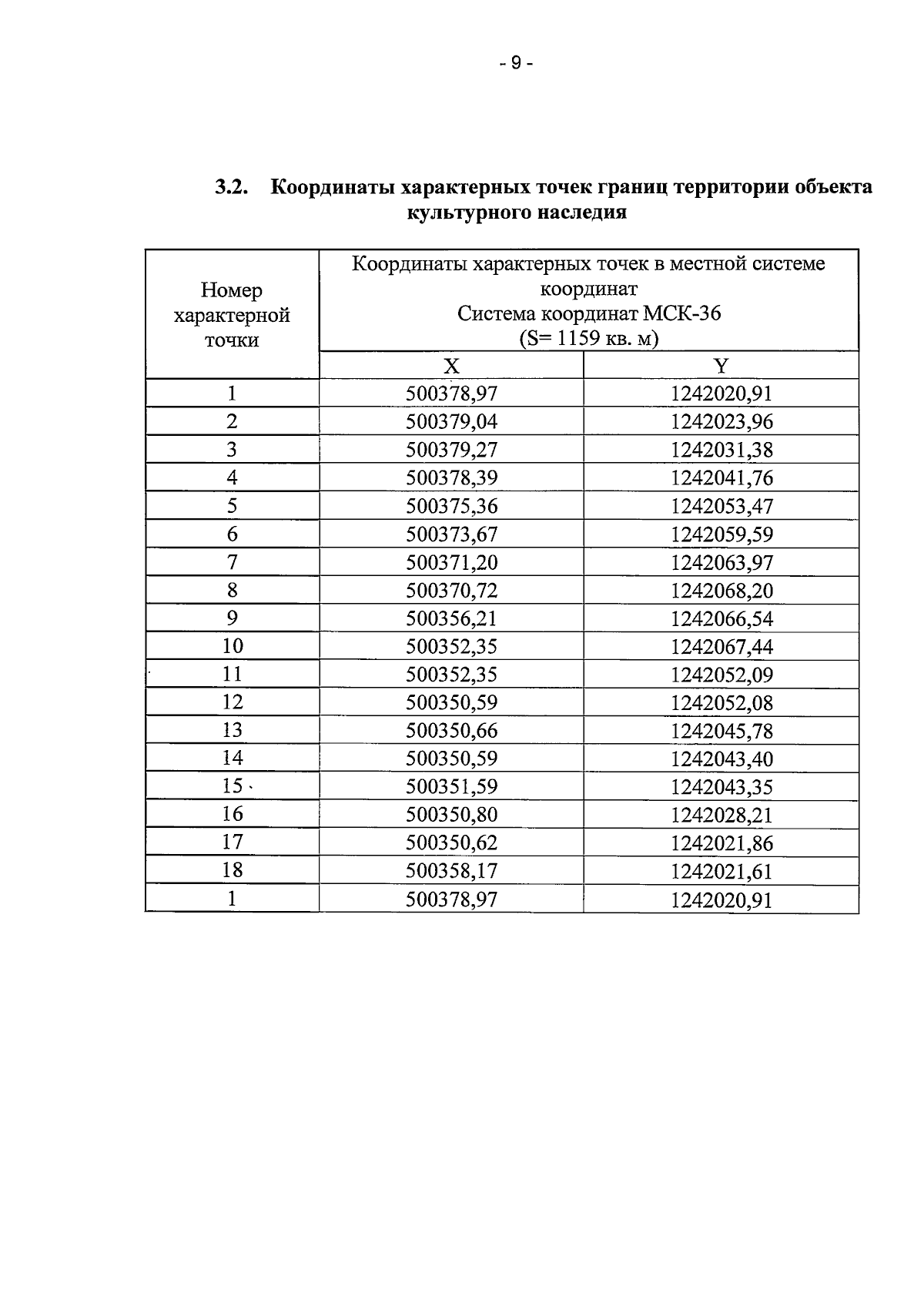
Приказ управления по охране объектов культурного наследия Воронежской области от 29.10.2024 № 71-01-07/507
"Об утверждении границ территорий объектов культурного наследия регионального значения, расположенных на территории Нижнедевицкого муниципального района Воронежской области"
(Зарегистрирован 12.11.2024 № 1319)
Номер опубликования: 3601202411130011
Дата опубликования: 13.11.2024
Страница №9 из 35:
Увеличить