Официальное опубликование правовых актов
ОФИЦИАЛЬНОЕ ОПУБЛИКОВАНИЕ
Приказ министерства архитектуры и градостроительства Воронежской области от 30.10.2024 № 45-01-04/487
"О внесении изменений в правила землепользования и застройки Островского сельского поселения Аннинского муниципального района Воронежской области"
(Зарегистрирован 12.11.2024 № 1317)
Номер опубликования: 3601202411130003
Дата опубликования: 13.11.2024
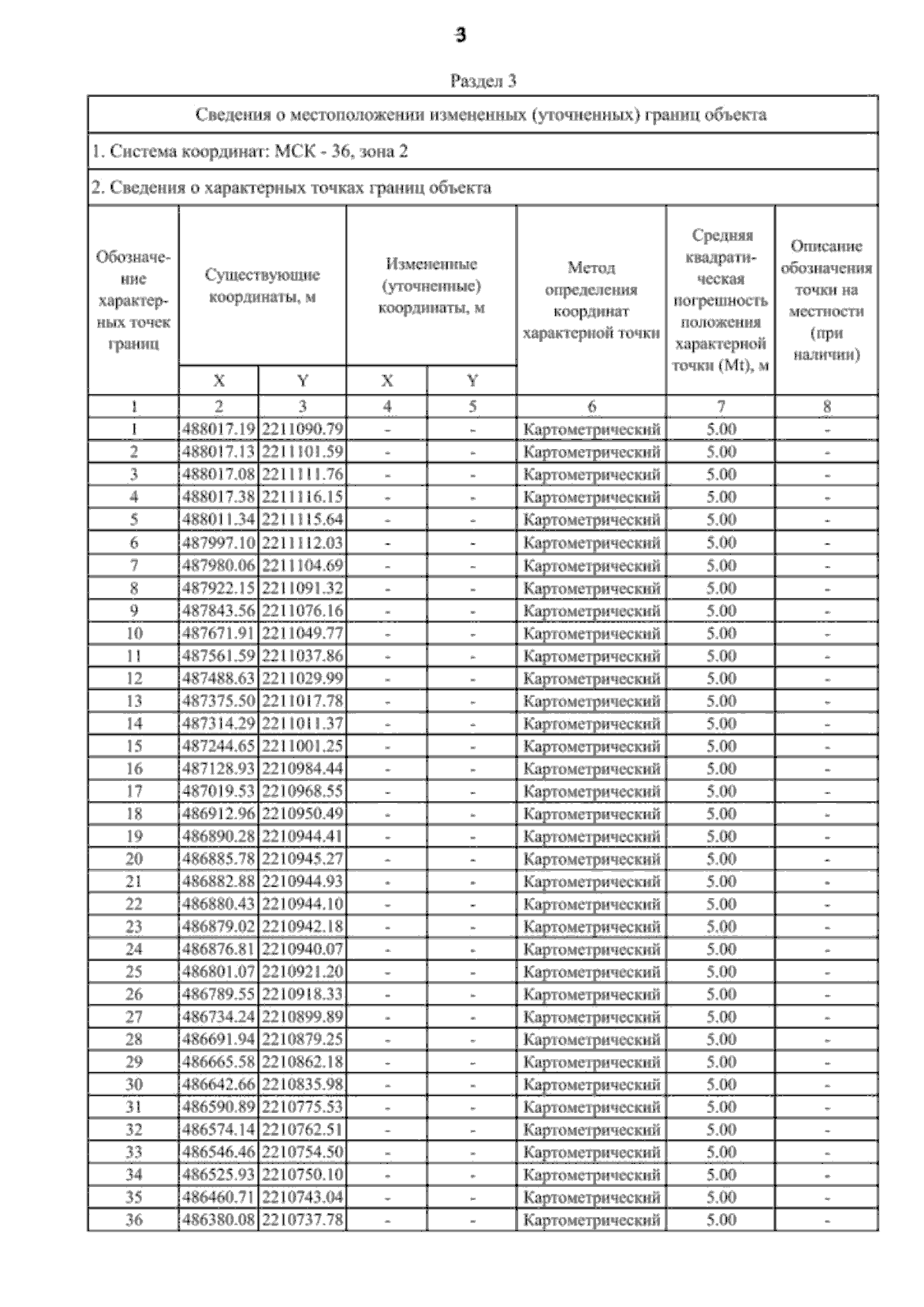
Страница №10 из 28:
Увеличить