Официальное опубликование правовых актов
ОФИЦИАЛЬНОЕ ОПУБЛИКОВАНИЕ
Приказ министерства архитектуры и градостроительства Воронежской области от 31.10.2024 № 45-01-04/488
"О внесении изменений в правила землепользования и застройки Манинского сельского поселения Калачеевского муниципального района Воронежской области"
(Зарегистрирован 12.11.2024 № 1318)
Номер опубликования: 3601202411130002
Дата опубликования: 13.11.2024
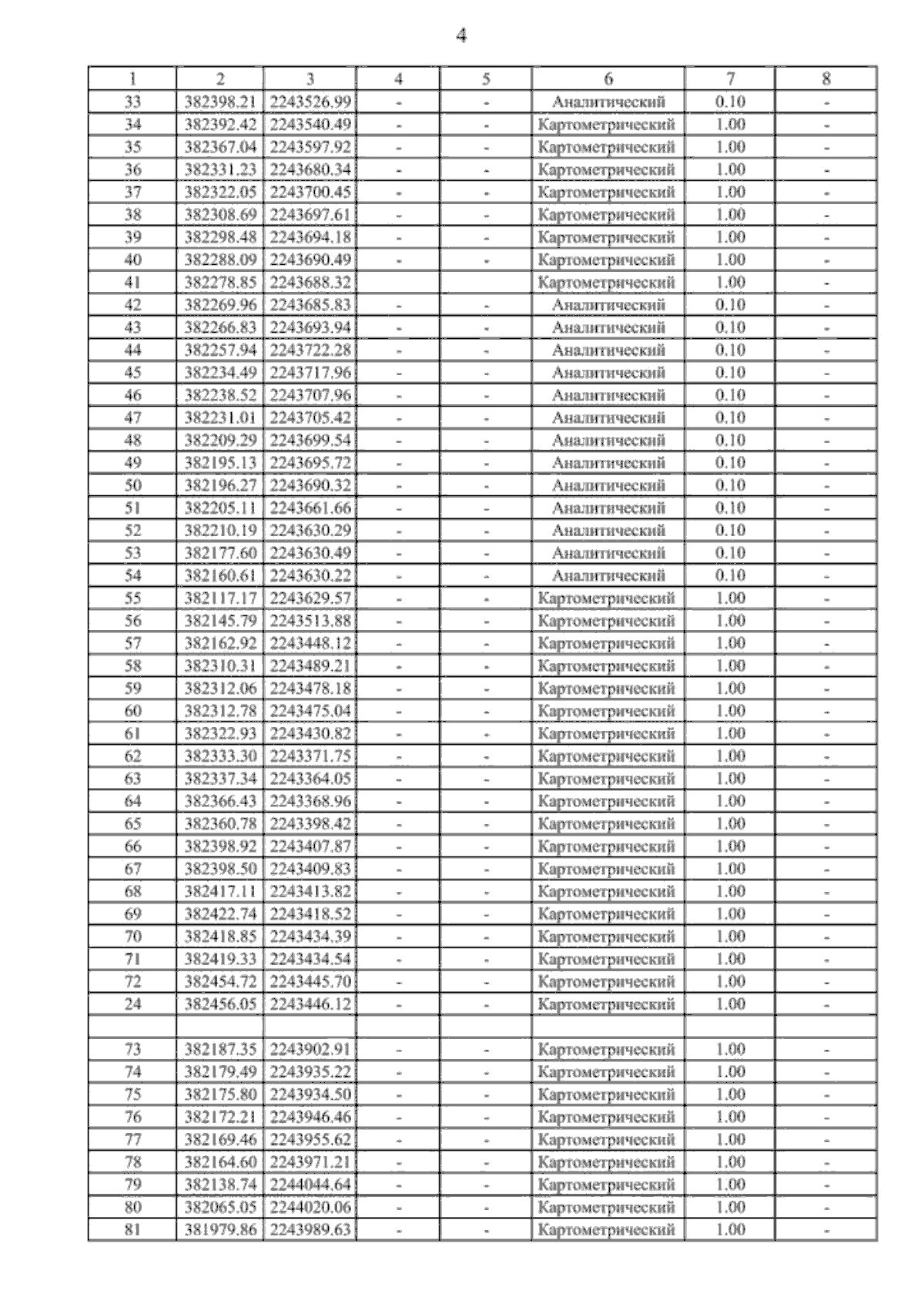
Страница №34 из 39:
Увеличить