Официальное опубликование правовых актов
ОФИЦИАЛЬНОЕ ОПУБЛИКОВАНИЕ
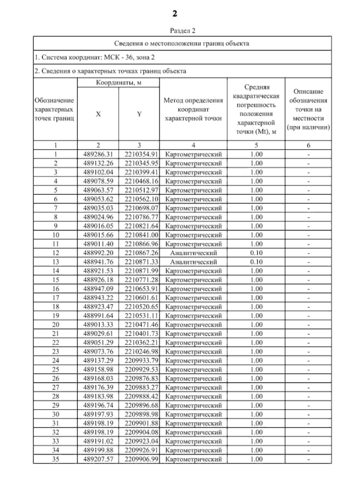
Приказ министерства архитектуры и градостроительства Воронежской области от 24.10.2024 № 45-01-04/462
"О внесении изменений в правила землепользования и застройки Архангельского сельского поселения Аннинского муниципального района Воронежской области"
(Зарегистрирован 05.11.2024 № 1280)
Номер опубликования: 3601202411060005
Дата опубликования: 06.11.2024
Страница №56 из 60:
Увеличить