Официальное опубликование правовых актов
ОФИЦИАЛЬНОЕ ОПУБЛИКОВАНИЕ
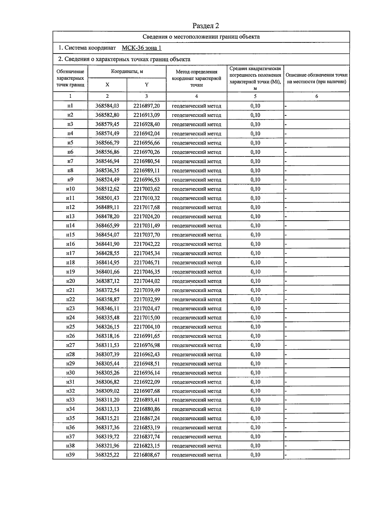
Приказ министерства природных ресурсов и экологии Воронежской области от 18.10.2024 № 394
"Об установлении зон санитарной охраны водозабора подземных вод филиала ПАО Молочный комбинат "Воронежский" "Калачеевский сырзавод" для питьевого, хозяйственно-бытового и технологического водоснабжения"
(Зарегистрирован 29.10.2024 № 1254)
Номер опубликования: 3601202411010002
Дата опубликования: 01.11.2024
Страница №12 из 18:
Увеличить