Официальное опубликование правовых актов
ОФИЦИАЛЬНОЕ ОПУБЛИКОВАНИЕ
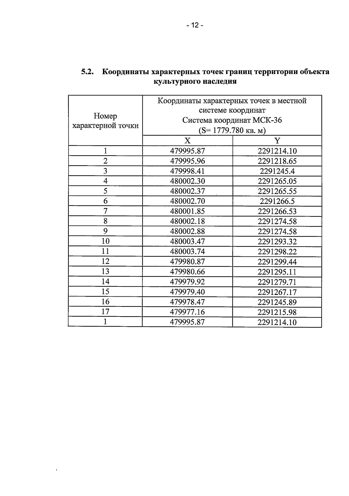
Приказ управления по охране объектов культурного наследия Воронежской области от 08.10.2024 № 71-01-07/453
"Об утверждении границ территорий объектов культурного наследия регионального значения, расположенных на территории Воронежской области"
(Зарегистрирован 17.10.2024 № 1187)
Номер опубликования: 3601202410210003
Дата опубликования: 21.10.2024
Страница №12 из 28:
Увеличить