Официальное опубликование правовых актов
ОФИЦИАЛЬНОЕ ОПУБЛИКОВАНИЕ
Приказ министерства архитектуры и градостроительства Воронежской области от 03.10.2024 № 45-01-04/413
"О внесении изменений в правила землепользования и застройки Поповского сельского поселения Россошанского муниципального района Воронежской области"
(Зарегистрирован 10.10.2024 № 1157)
Номер опубликования: 3601202410110010
Дата опубликования: 11.10.2024
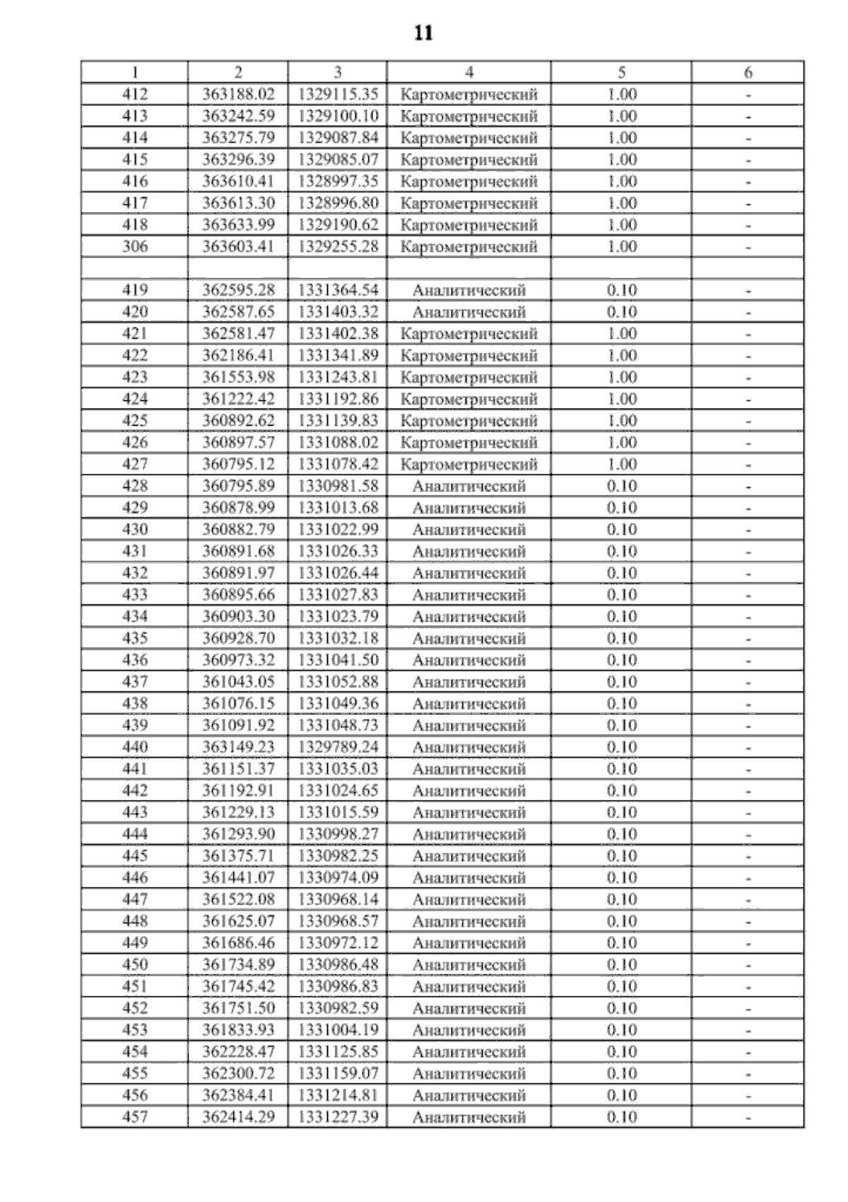
Страница №26 из 75:
Увеличить