Официальное опубликование правовых актов
ОФИЦИАЛЬНОЕ ОПУБЛИКОВАНИЕ
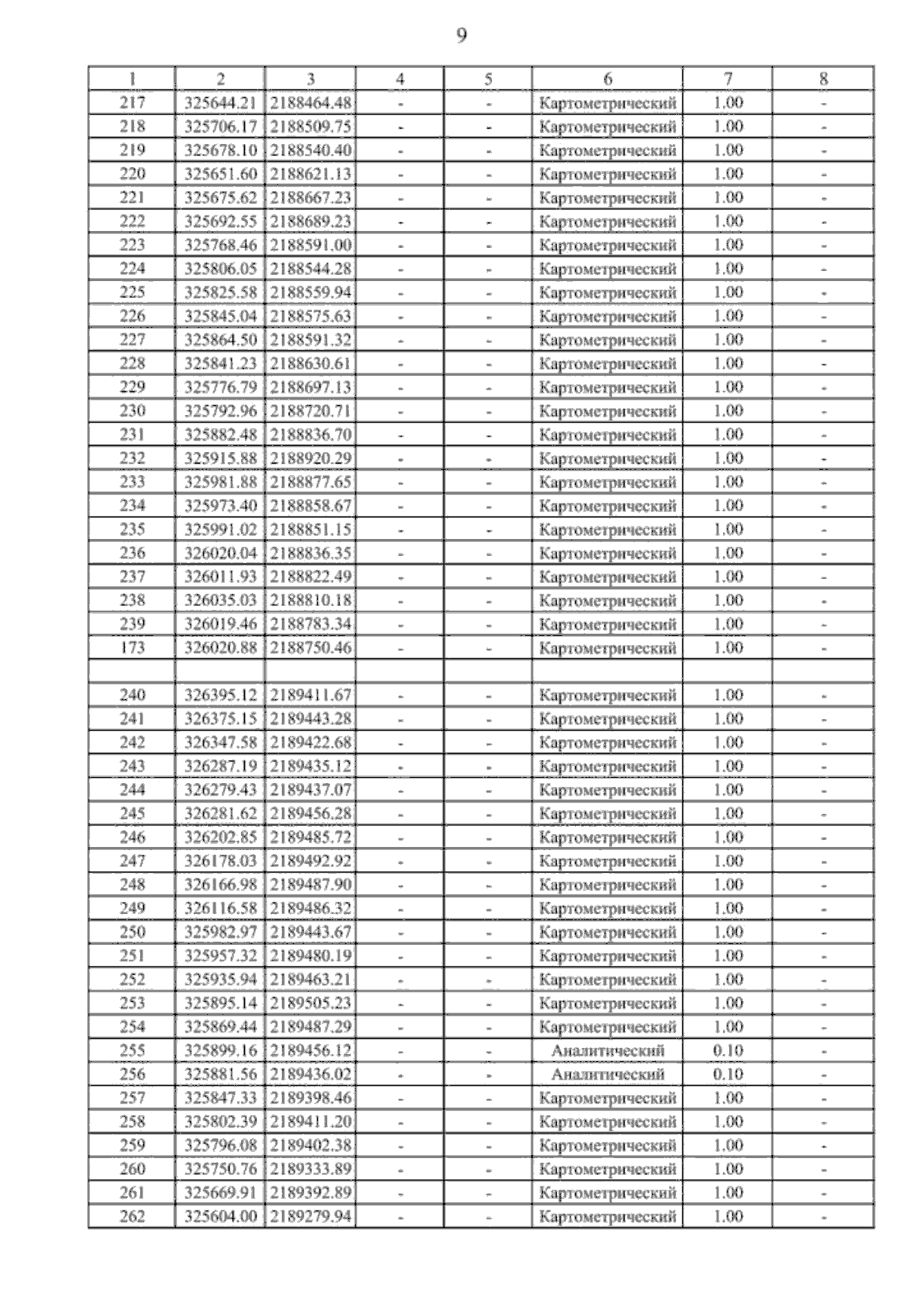
Приказ министерства архитектуры и градостроительства Воронежской области от 03.10.2024 № 45-01-04/414
"О внесении изменений в правила землепользования и застройки Залиманского сельского поселения Богучарского муниципального района Воронежской области"
(Зарегистрирован 10.10.2024 № 1158)
Номер опубликования: 3601202410110009
Дата опубликования: 11.10.2024
Страница №65 из 73:
Увеличить