Официальное опубликование правовых актов
ОФИЦИАЛЬНОЕ ОПУБЛИКОВАНИЕ
Приказ министерства архитектуры и градостроительства Воронежской области от 30.09.2024 № 45-01-04/404
"О внесении изменений в правила землепользования и застройки Нижнемамонского 1-го сельского поселения Верхнемамонского муниципального района Воронежской области"
(Зарегистрирован 08.10.2024 № 1133)
Номер опубликования: 3601202410090003
Дата опубликования: 09.10.2024
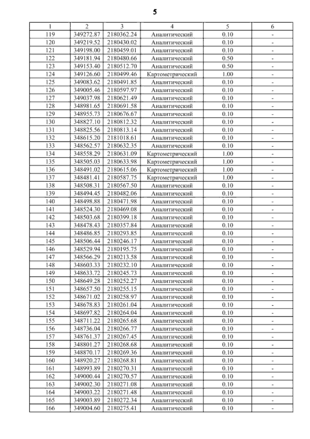
Страница №46 из 54:
Увеличить