Официальное опубликование правовых актов
ОФИЦИАЛЬНОЕ ОПУБЛИКОВАНИЕ
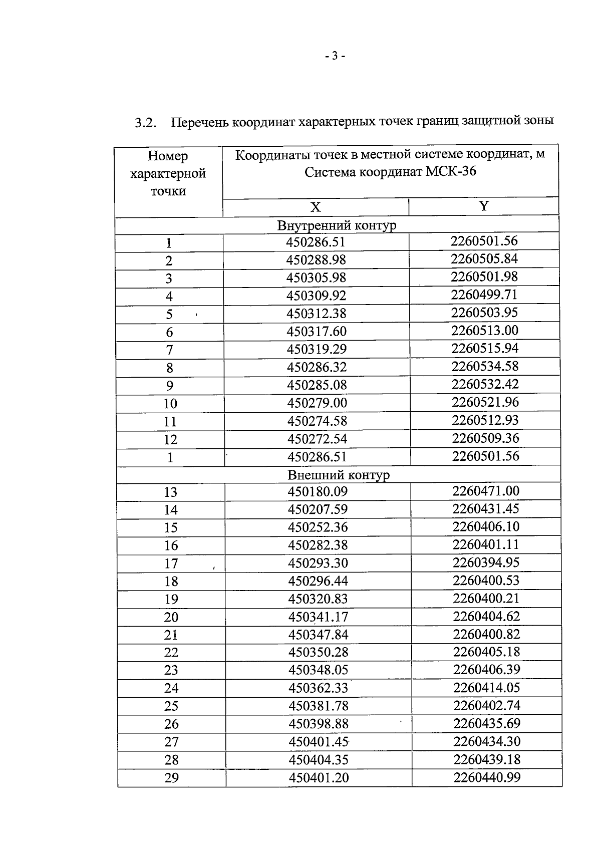
Приказ управления по охране объектов культурного наследия Воронежской области от 20.09.2024 № 71-01-07/438
"О внесении изменения в приказ управления по охране объектов культурного наследия Воронежской области от 12.11.2019 № 71-01-07/286"
(Зарегистрирован 07.10.2024 № 1126)
Номер опубликования: 3601202410080012
Дата опубликования: 08.10.2024
Страница №3 из 5:
Увеличить