Официальное опубликование правовых актов
ОФИЦИАЛЬНОЕ ОПУБЛИКОВАНИЕ
Приказ управления по охране объектов культурного наследия Воронежской области от 10.09.2024 № 71-01-07/427
"Об утверждении границ территорий объектов культурного наследия регионального значения, расположенных на территории Борисоглебского городского округа Воронежской области"
(Зарегистрирован 01.10.2024 № 1100)
Номер опубликования: 3601202410040011
Дата опубликования: 04.10.2024
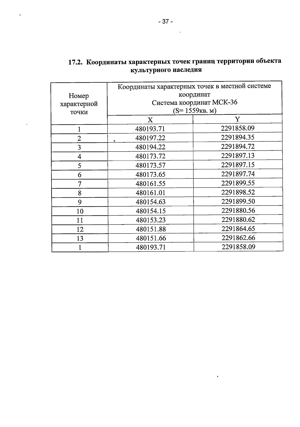
Страница №37 из 37:
Увеличить