Официальное опубликование правовых актов
ОФИЦИАЛЬНОЕ ОПУБЛИКОВАНИЕ
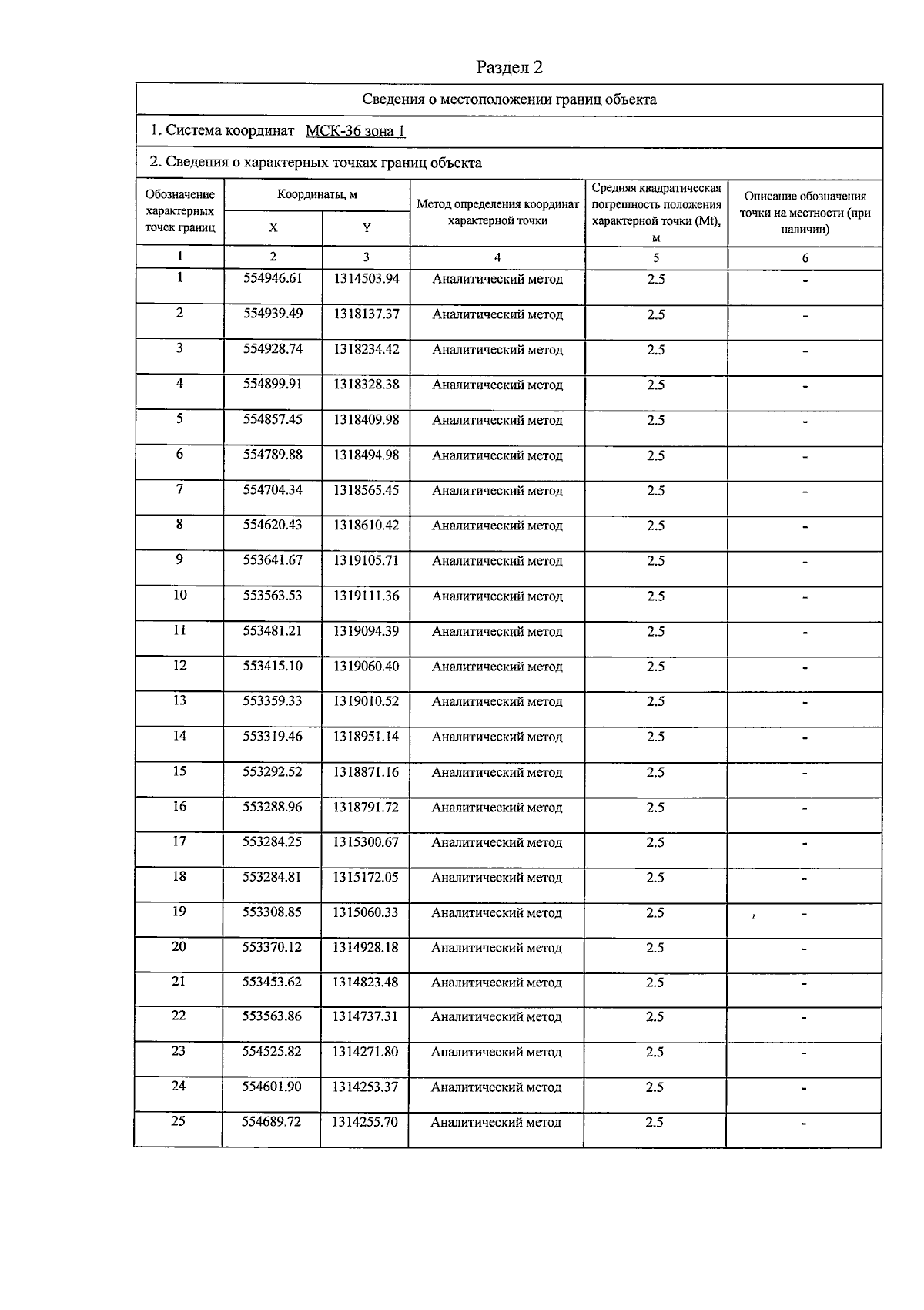
Приказ министерства природных ресурсов и экологии Воронежской области от 17.09.2024 № 364
"Об установлении зон санитарной охраны водозабора в составе четырех существующих скважин №№ 001/203, 002/210, 003/212, 004/218 для питьевого, хозяйственно-бытового водоснабжения ООО "Заречное"
(Зарегистрирован 01.10.2024 № 1093)
Номер опубликования: 3601202410040005
Дата опубликования: 04.10.2024
Страница №16 из 18:
Увеличить