Официальное опубликование правовых актов
ОФИЦИАЛЬНОЕ ОПУБЛИКОВАНИЕ
Приказ министерства архитектуры и градостроительства Воронежской области от 23.09.2024 № 45-01-04/379
"О внесении изменений в правила землепользования и застройки городского поселения – город Бобров Бобровского муниципального района Воронежской области"
(Зарегистрирован 01.10.2024 № 1102)
Номер опубликования: 3601202410040002
Дата опубликования: 04.10.2024
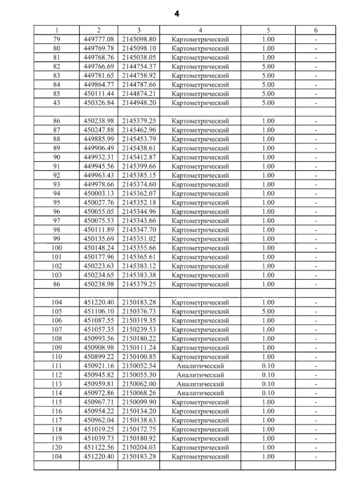
Страница №127 из 164:
Увеличить