Официальное опубликование правовых актов
ОФИЦИАЛЬНОЕ ОПУБЛИКОВАНИЕ
Приказ министерства архитектуры и градостроительства Воронежской области от 25.09.2024 № 45-01-04/398
"О внесении изменений в правила землепользования и застройки Пригородного сельского поселения Калачеевского муниципального района Воронежской области"
(Зарегистрирован 01.10.2024 № 1104)
Номер опубликования: 3601202410040001
Дата опубликования: 04.10.2024
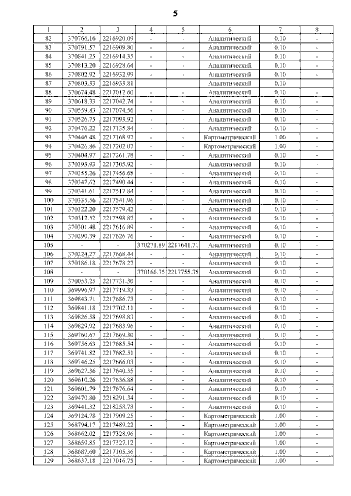
Страница №19 из 56:
Увеличить