Официальное опубликование правовых актов
ОФИЦИАЛЬНОЕ ОПУБЛИКОВАНИЕ
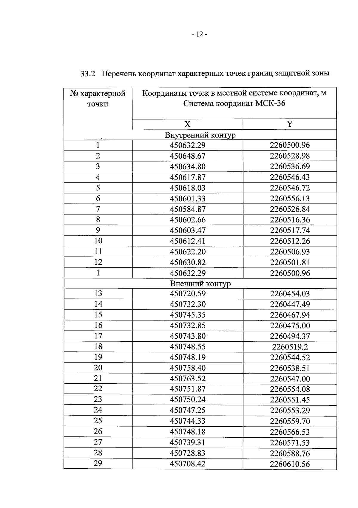
Приказ управления по охране объектов культурного наследия Воронежской области от 29.08.2024 № 71-01-07/412
"О внесении изменений в приказ управления по охране объектов культурного наследия Воронежской области от 12.11.2019 № 71-01-07/286"
(Зарегистрирован 17.09.2024 № 1022)
Номер опубликования: 3601202409200002
Дата опубликования: 20.09.2024
Страница №12 из 17:
Увеличить