Официальное опубликование правовых актов
ОФИЦИАЛЬНОЕ ОПУБЛИКОВАНИЕ
Приказ министерства архитектуры и градостроительства Воронежской области от 05.09.2024 № 45-01-04/342
"О внесении изменений в правила землепользования и застройки городского поселения – город Новохопёрск Новохопёрского муниципального района Воронежской области"
(Зарегистрирован 11.09.2024 № 993)
Номер опубликования: 3601202409120009
Дата опубликования: 12.09.2024
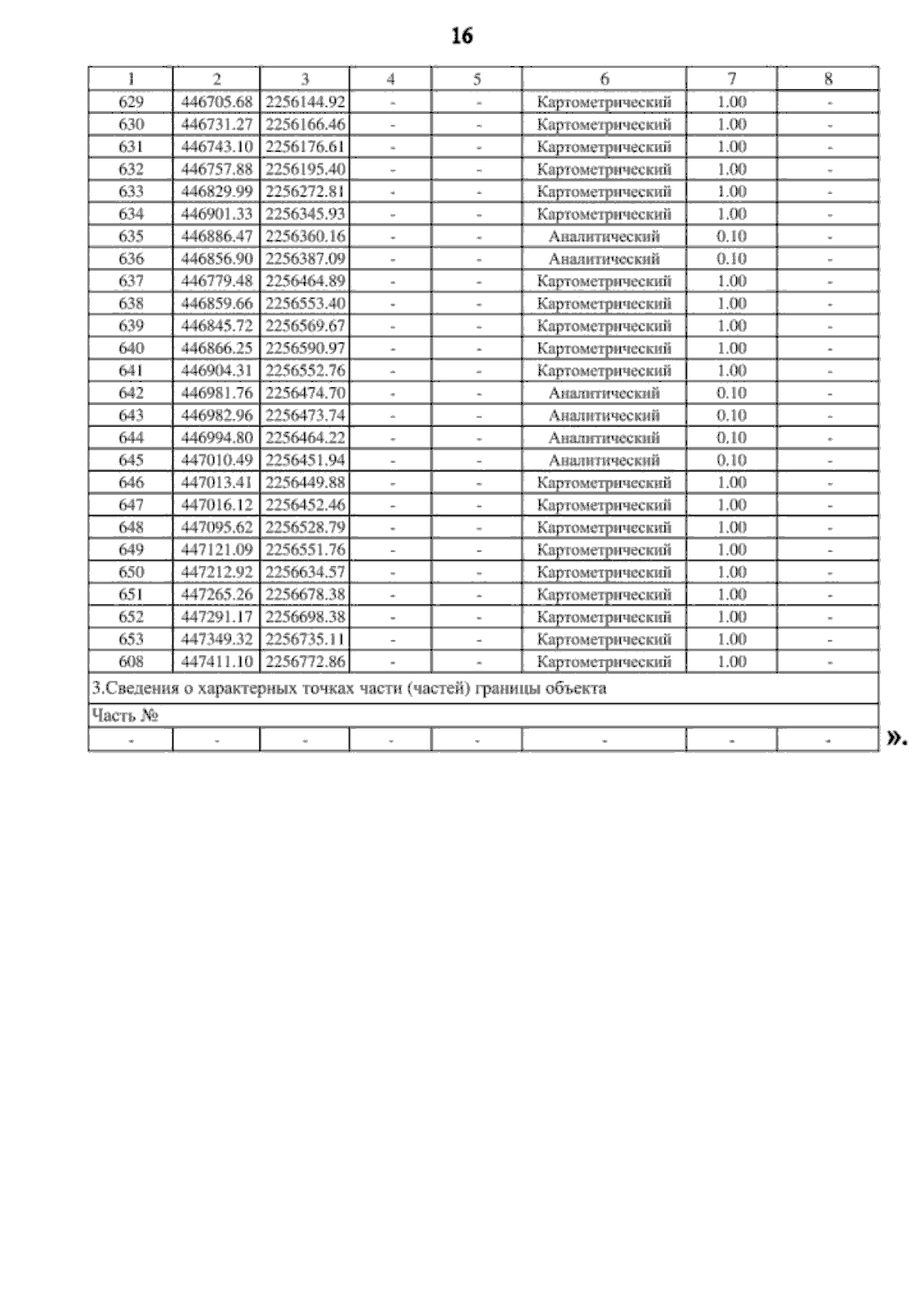
Страница №24 из 27:
Увеличить