Официальное опубликование правовых актов
ОФИЦИАЛЬНОЕ ОПУБЛИКОВАНИЕ
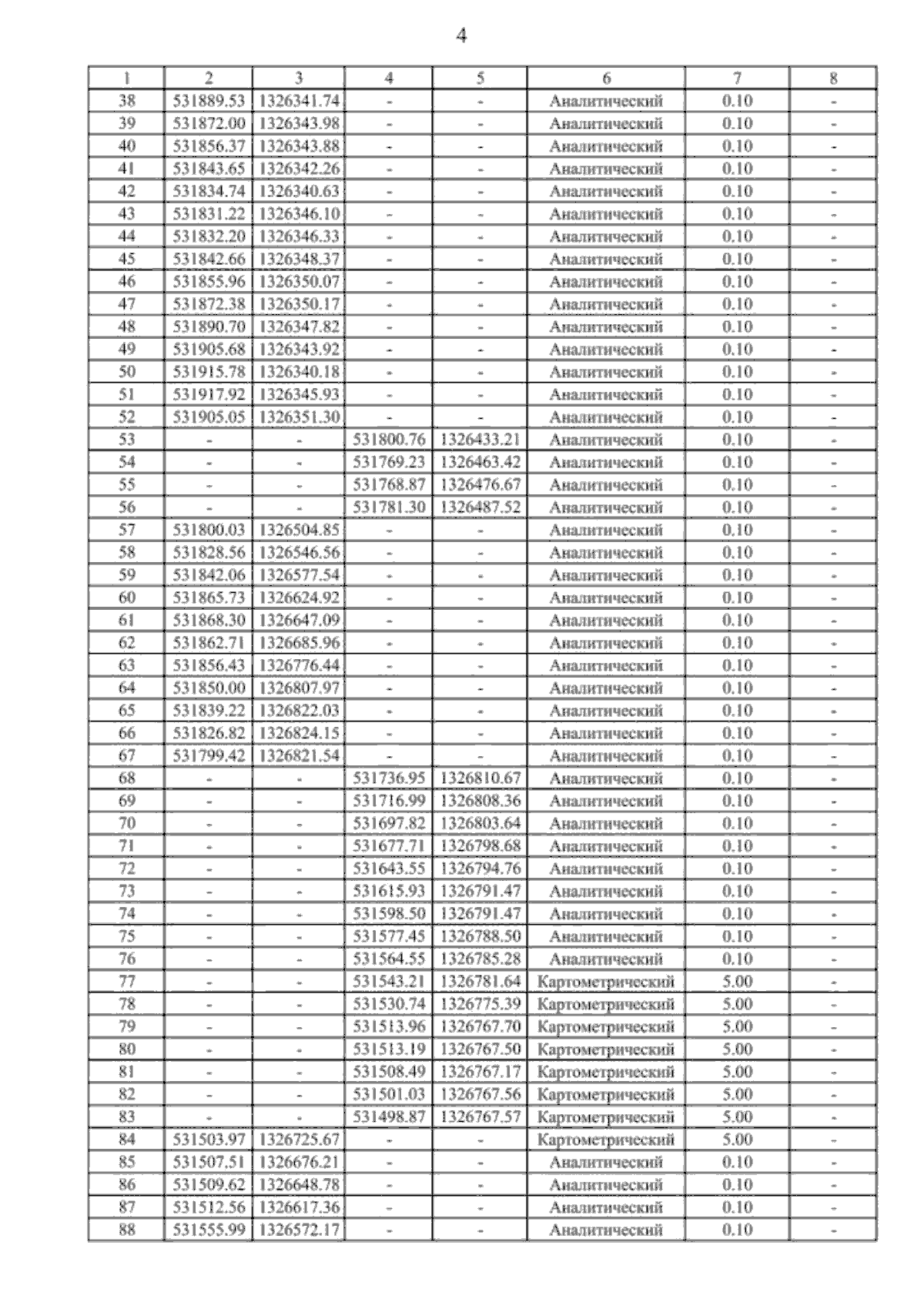
Приказ министерства архитектуры и градостроительства Воронежской области от 28.08.2024 № 45-01-04/329
"О внесении изменений в правила землепользования и застройки Углянского сельского поселения Верхнехавского муниципального района Воронежской области"
(Зарегистрирован 06.09.2024 № 973)
Номер опубликования: 3601202409110008
Дата опубликования: 11.09.2024
Страница №36 из 88:
Увеличить