Официальное опубликование правовых актов
ОФИЦИАЛЬНОЕ ОПУБЛИКОВАНИЕ
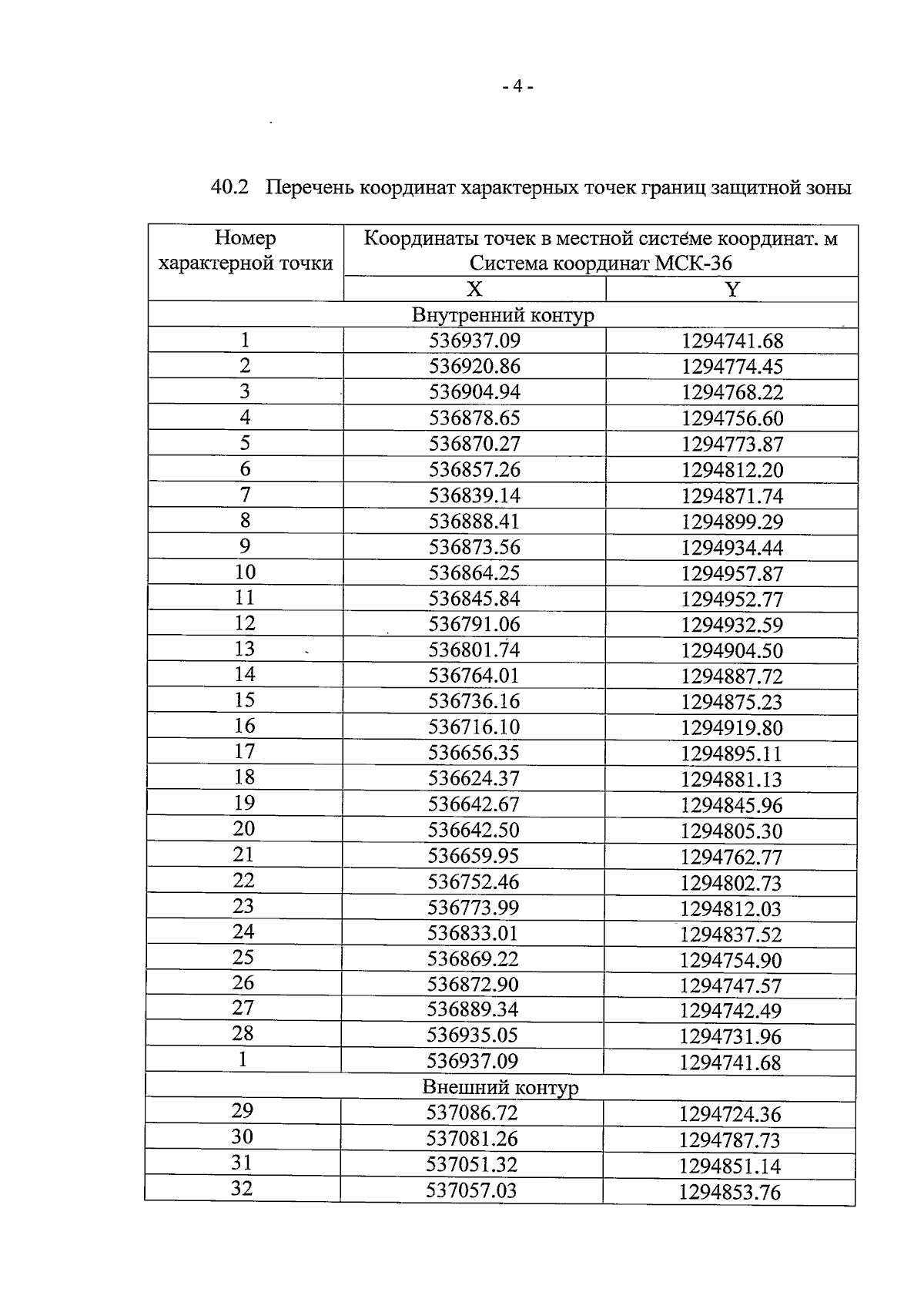
Приказ управления по охране объектов культурного наследия Воронежской области от 19.08.2024 № 71-01-07/402
"О внесении изменения в приказ управления по охране объектов культурного наследия Воронежской области от 04.12.2019 № 71-01-07/339"
(Зарегистрирован 02.09.2024 № 950)
Номер опубликования: 3601202409030008
Дата опубликования: 03.09.2024
Страница №4 из 5:
Увеличить