Официальное опубликование правовых актов
ОФИЦИАЛЬНОЕ ОПУБЛИКОВАНИЕ
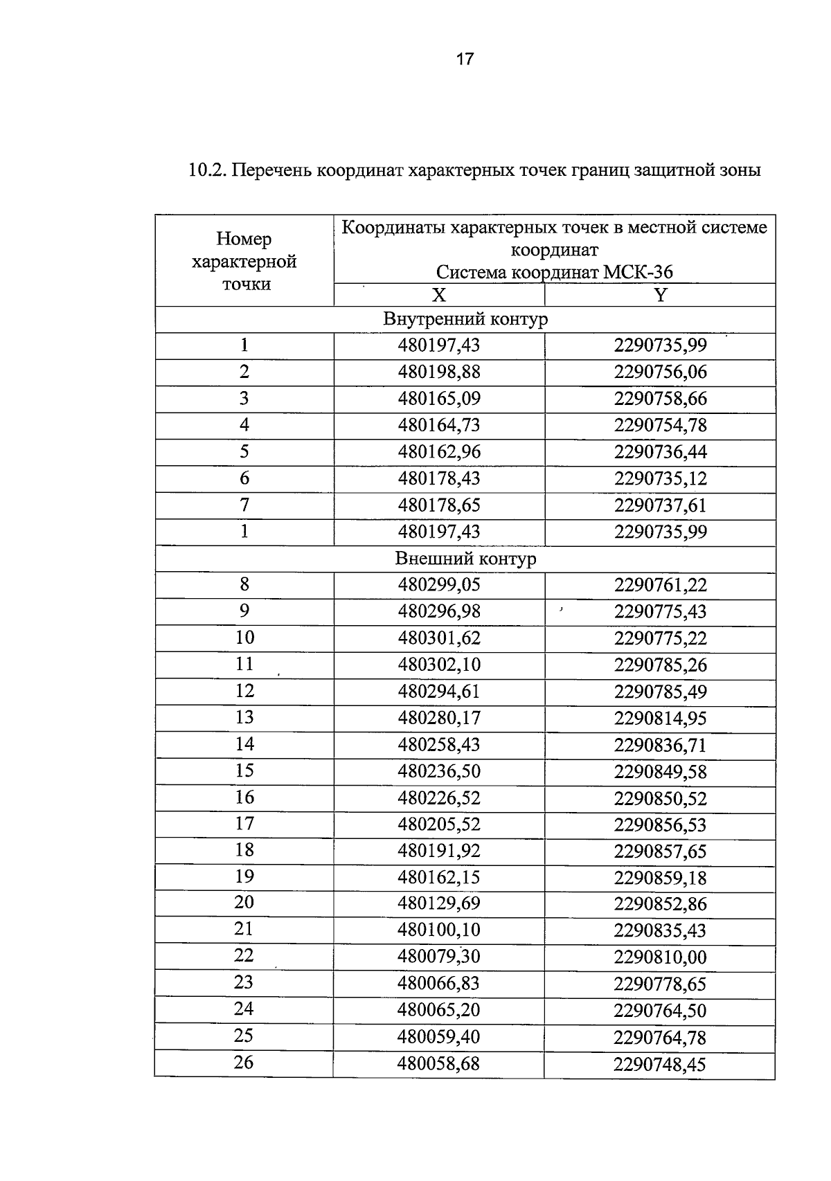
Приказ управления по охране объектов культурного наследия Воронежской области от 09.08.2024 № 71-01-07/394
"О внесении изменений в приказ управления по охране объектов культурного наследия Воронежской области от 04.12.2018 № 71-01- 07/266"
(Зарегистрирован 28.08.2024 № 914)
Номер опубликования: 3601202408290010
Дата опубликования: 29.08.2024
Страница №17 из 78:
Увеличить