Официальное опубликование правовых актов
ОФИЦИАЛЬНОЕ ОПУБЛИКОВАНИЕ
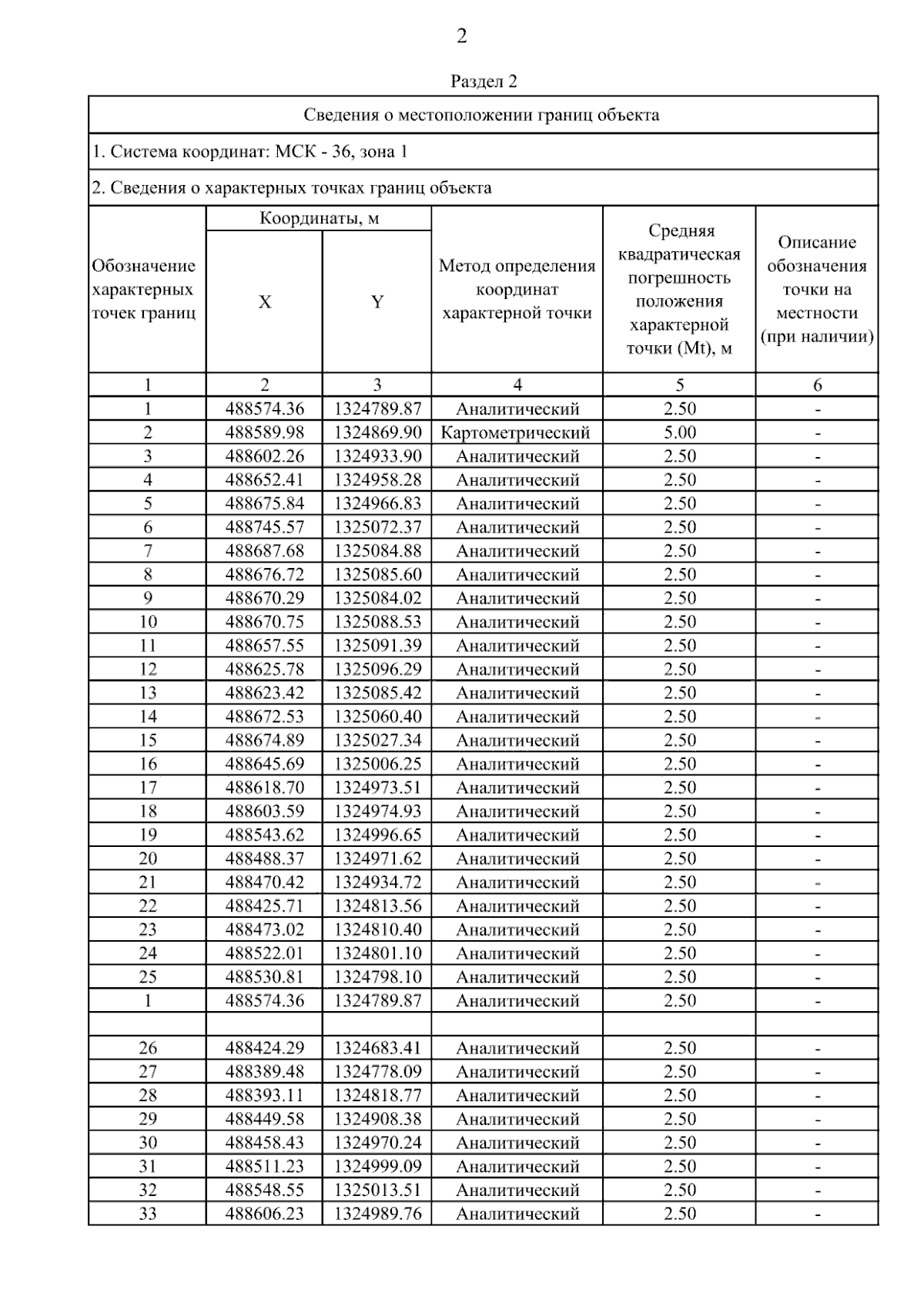
Приказ министерства архитектуры и градостроительства Воронежской области от 13.08.2024 № 45-01-04/304
"О внесении изменений в правила землепользования и застройки Каширского сельского поселения Каширского муниципального района Воронежской области"
(Зарегистрирован 28.08.2024 № 917)
Номер опубликования: 3601202408290003
Дата опубликования: 29.08.2024
Страница №8 из 14:
Увеличить