Официальное опубликование правовых актов
ОФИЦИАЛЬНОЕ ОПУБЛИКОВАНИЕ
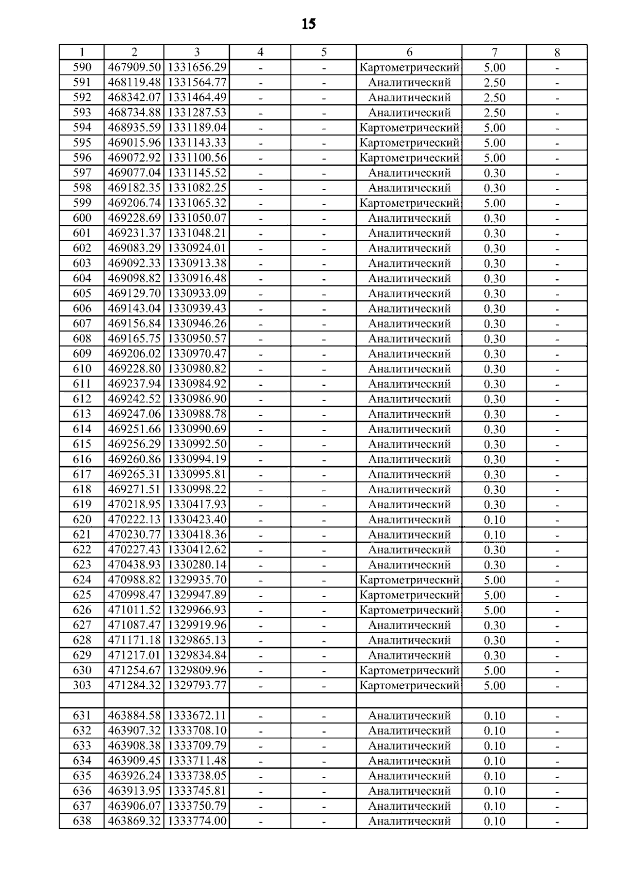
Приказ министерства архитектуры и градостроительства Воронежской области от 13.08.2024 № 45-01-04/303
"О внесении изменений в правила землепользования и застройки Можайского сельского поселения Каширского муниципального района Воронежской области"
(Зарегистрирован 28.08.2024 № 916)
Номер опубликования: 3601202408290001
Дата опубликования: 29.08.2024
Страница №23 из 47:
Увеличить