Официальное опубликование правовых актов
ОФИЦИАЛЬНОЕ ОПУБЛИКОВАНИЕ
Приказ министерства природных ресурсов и экологии Воронежской области от 01.08.2024 № 298
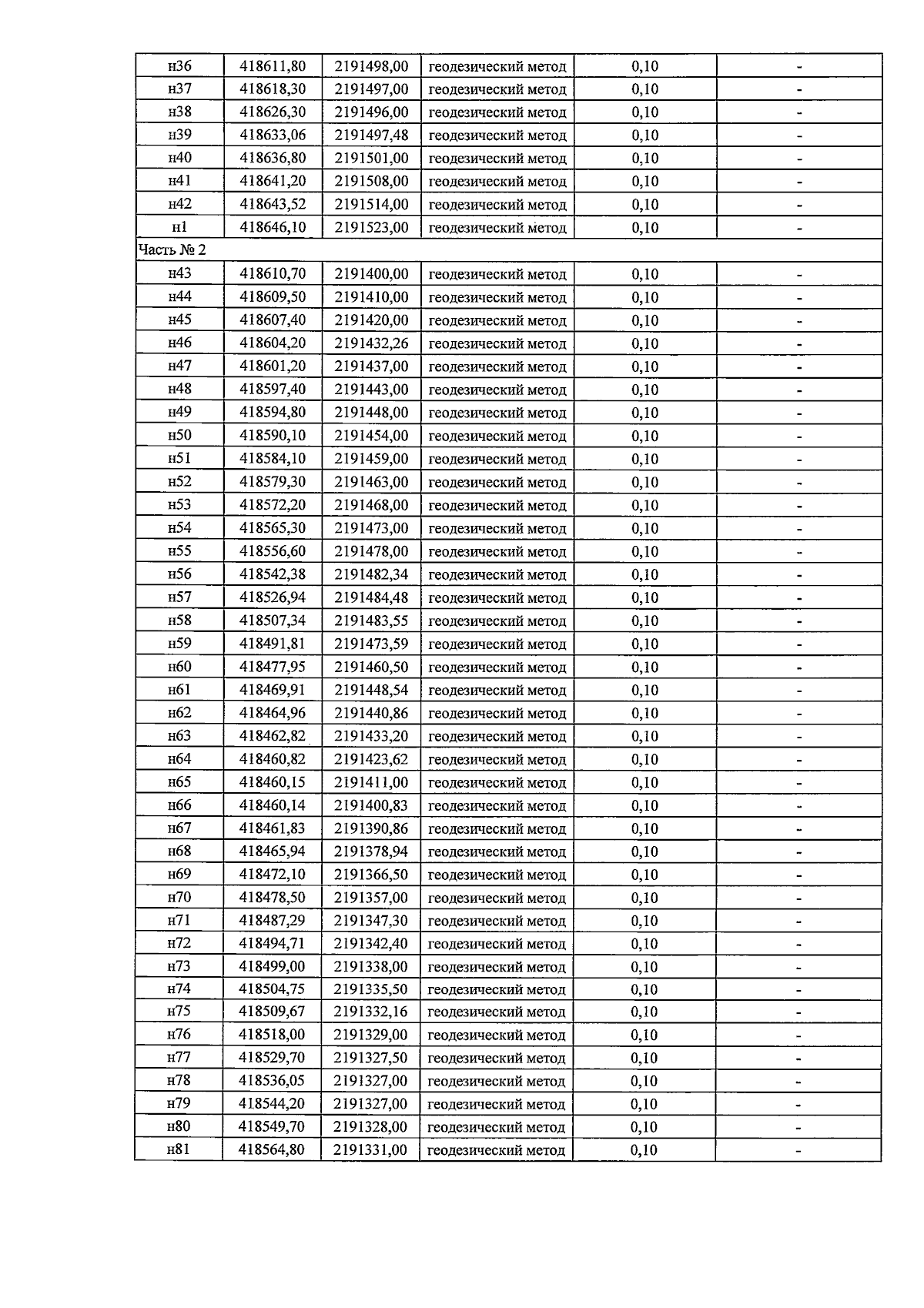
"Об установлении зон санитарной охраны водозабора в составе двух существующих скважин №№ 32229, 52358 и водопроводных сооружений для питьевого, хозяйственно-бытового водоснабжения Открытого акционерного общества "Бутурлиновский мелькомбинат"
(Зарегистрирован 21.08.2024 № 891)
Номер опубликования: 3601202408230008
Дата опубликования: 23.08.2024
Страница №13 из 20:
Увеличить