Официальное опубликование правовых актов
ОФИЦИАЛЬНОЕ ОПУБЛИКОВАНИЕ
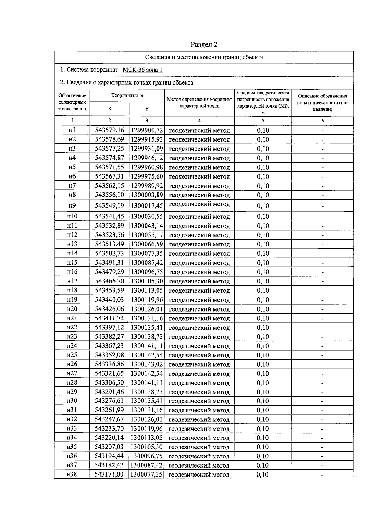
Приказ министерства природных ресурсов и экологии Воронежской области от 01.08.2024 № 299
"Об установлении зон санитарной охраны существующих скважин № 1/10, № 2/10 для питьевого, хозяйственно-бытового водоснабжения населения Товарищества собственников недвижимости "Серебряный бор"
(Зарегистрирован 21.08.2024 № 892)
Номер опубликования: 3601202408230007
Дата опубликования: 23.08.2024
Страница №16 из 19:
Увеличить