Официальное опубликование правовых актов
ОФИЦИАЛЬНОЕ ОПУБЛИКОВАНИЕ
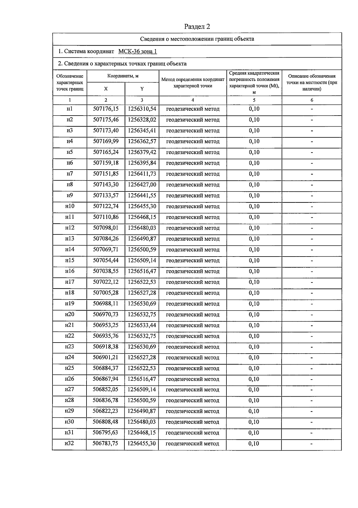
Приказ министерства природных ресурсов и экологии Воронежской области от 01.08.2024 № 302
"Об установлении зон санитарной охраны существующих скважин — №№ 1, 2 для питьевого, хозяйственно-бытового водоснабжения ТСЖ "Верхнее Турово"
(Зарегистрирован 21.08.2024 № 895)
Номер опубликования: 3601202408230006
Дата опубликования: 23.08.2024
Страница №18 из 23:
Увеличить