Официальное опубликование правовых актов
ОФИЦИАЛЬНОЕ ОПУБЛИКОВАНИЕ
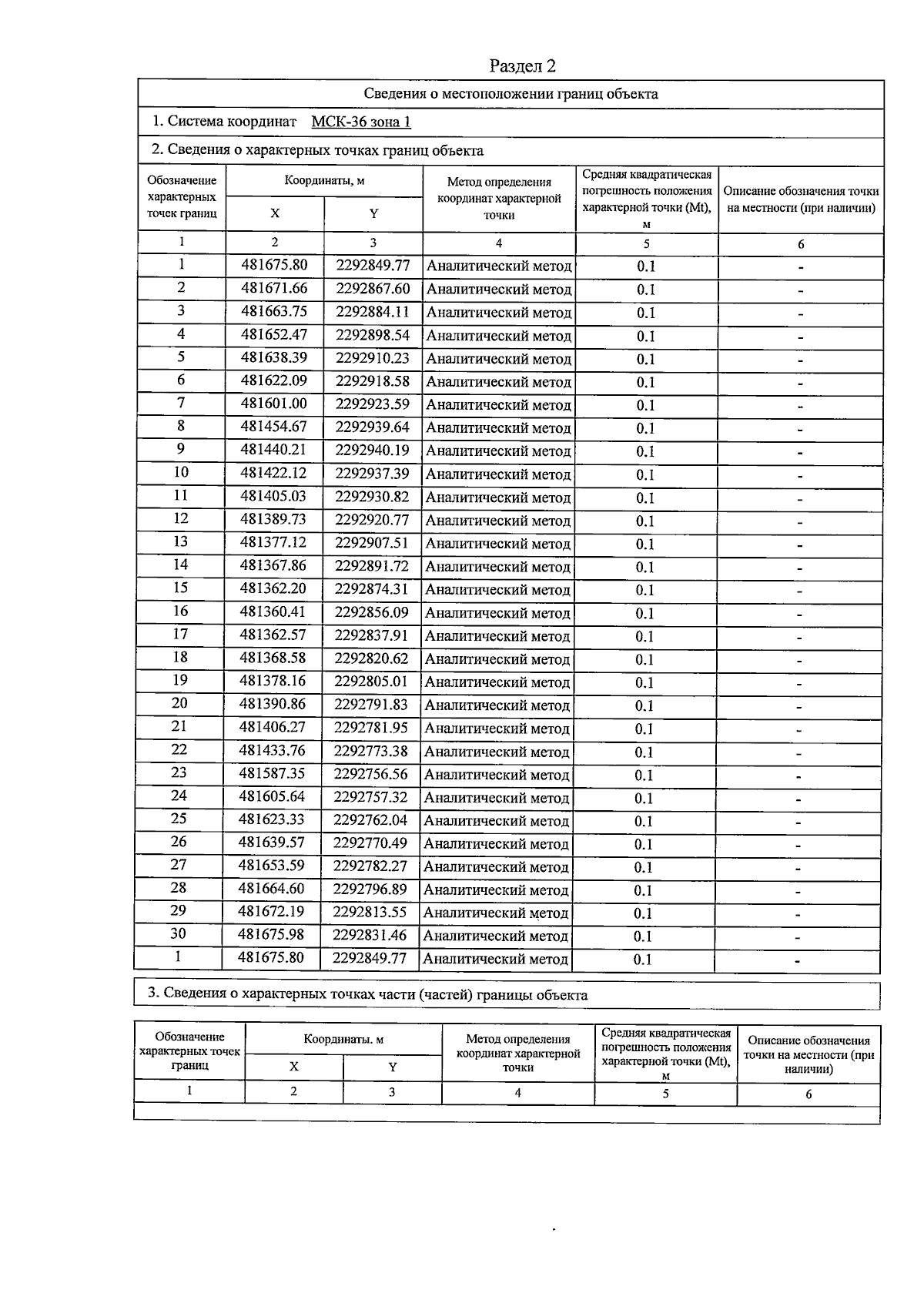
Приказ министерства природных ресурсов и экологии Воронежской области от 01.08.2024 № 300
"Об установлении зон санитарной охраны двух эксплуатационных скважин №№ 24428/5 (ГВК 20205133), 2-72/6 (ГВК 20205132) для питьевого, хозяйственно-бытового водоснабжения предприятия ООО "БМК"
(Зарегистрирован 21.08.2024 № 893)
Номер опубликования: 3601202408230005
Дата опубликования: 23.08.2024
Страница №13 из 18:
Увеличить