Официальное опубликование правовых актов
ОФИЦИАЛЬНОЕ ОПУБЛИКОВАНИЕ
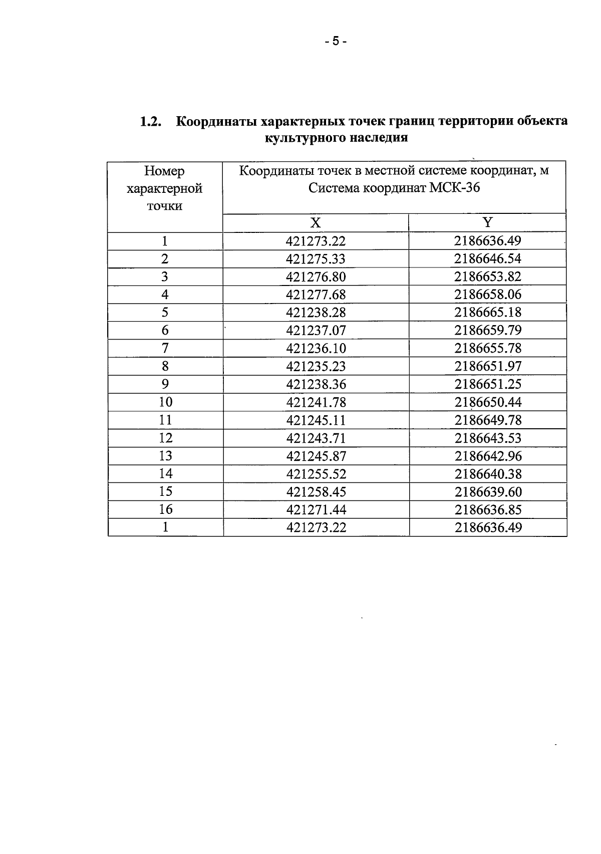
Приказ управления по охране объектов культурного наследия Воронежской области от 22.07.2024 № 71-01-07/368
"Об утверждении границ территорий объектов культурного наследия регионального значения, расположенных на территории Бутурлиновского муниципального района Воронежской области"
(Зарегистрирован 07.08.2024 № 850)
Номер опубликования: 3601202408120002
Дата опубликования: 12.08.2024
Страница №5 из 15:
Увеличить