Официальное опубликование правовых актов
ОФИЦИАЛЬНОЕ ОПУБЛИКОВАНИЕ
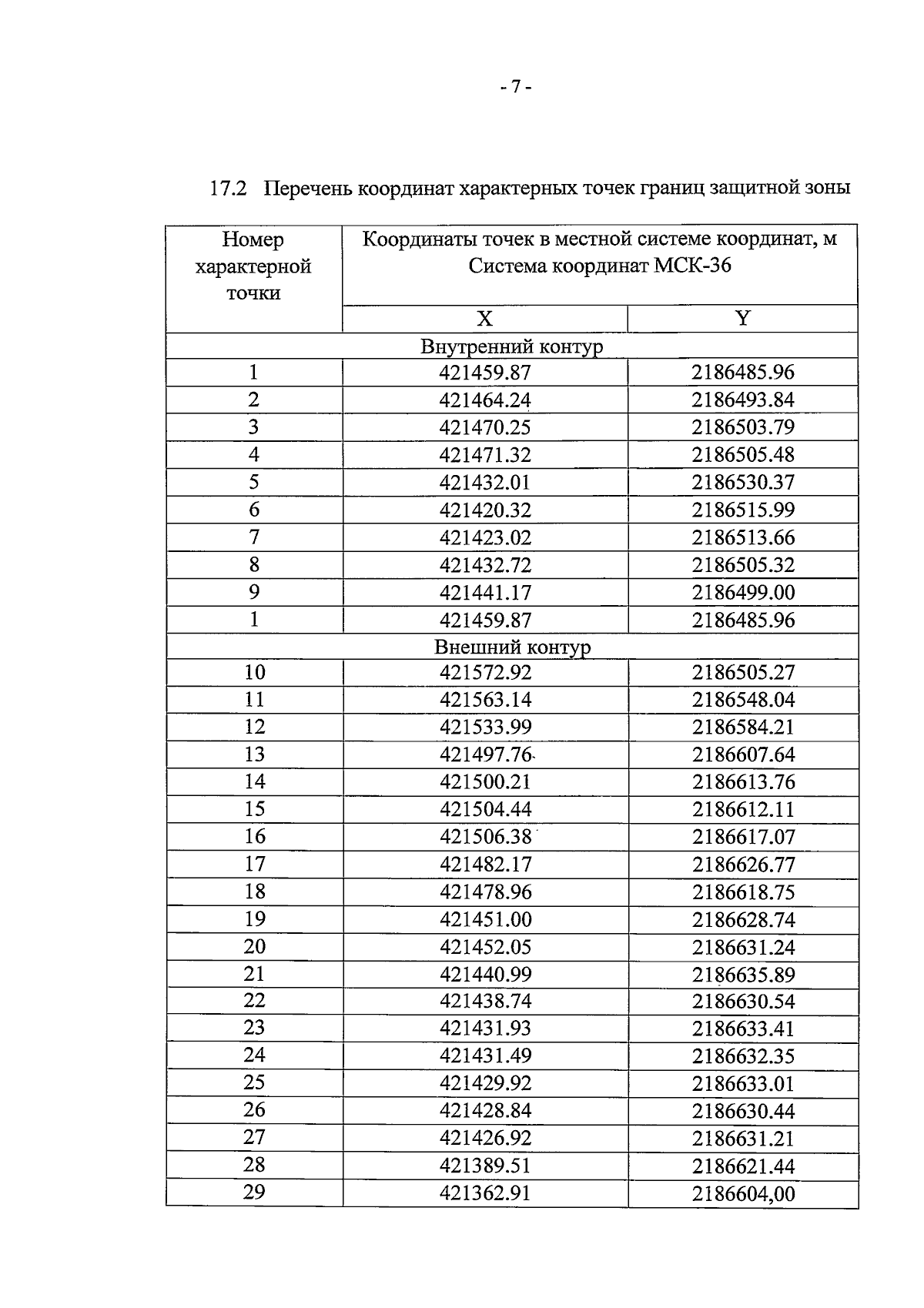
Приказ управления по охране объектов культурного наследия Воронежской области от 22.07.2024 № 71-01-07/369
"О внесении изменения в приказ управления по охране объектов культурного наследия Воронежской области от 03.09.2019 № 71-01-07/212"
(Зарегистрирован 07.08.2024 № 851)
Номер опубликования: 3601202408120001
Дата опубликования: 12.08.2024
Страница №7 из 8:
Увеличить