Официальное опубликование правовых актов
ОФИЦИАЛЬНОЕ ОПУБЛИКОВАНИЕ
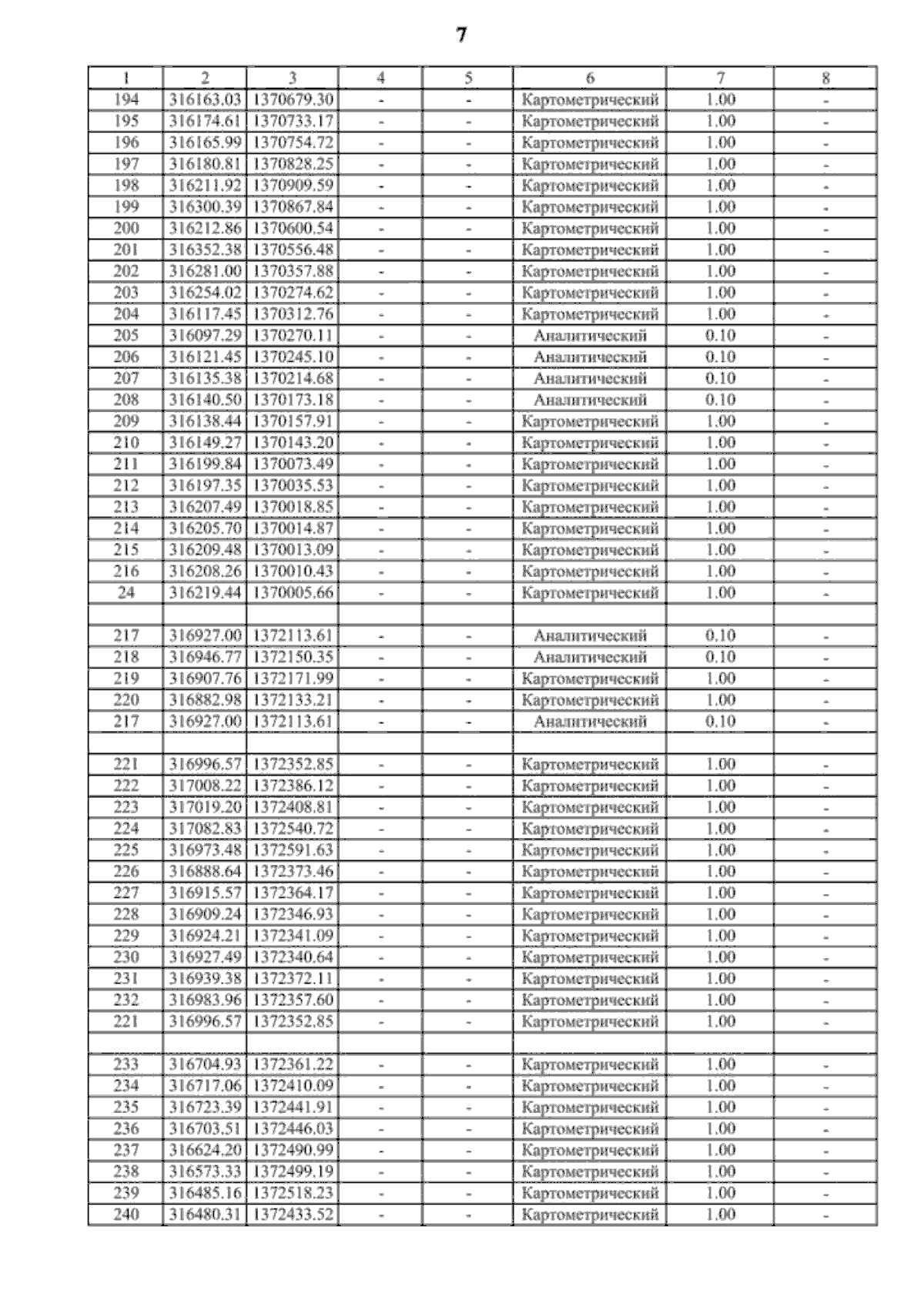
Приказ министерства архитектуры и градостроительства Воронежской области от 25.07.2024 № 45-01-04/287
"О внесении изменений в правила землепользования и застройки Писаревского сельского поселения Кантемировского муниципального района Воронежской области"
(Зарегистрирован 30.07.2024 № 833)
Номер опубликования: 3601202408010006
Дата опубликования: 01.08.2024
Страница №14 из 47:
Увеличить