Официальное опубликование правовых актов
ОФИЦИАЛЬНОЕ ОПУБЛИКОВАНИЕ
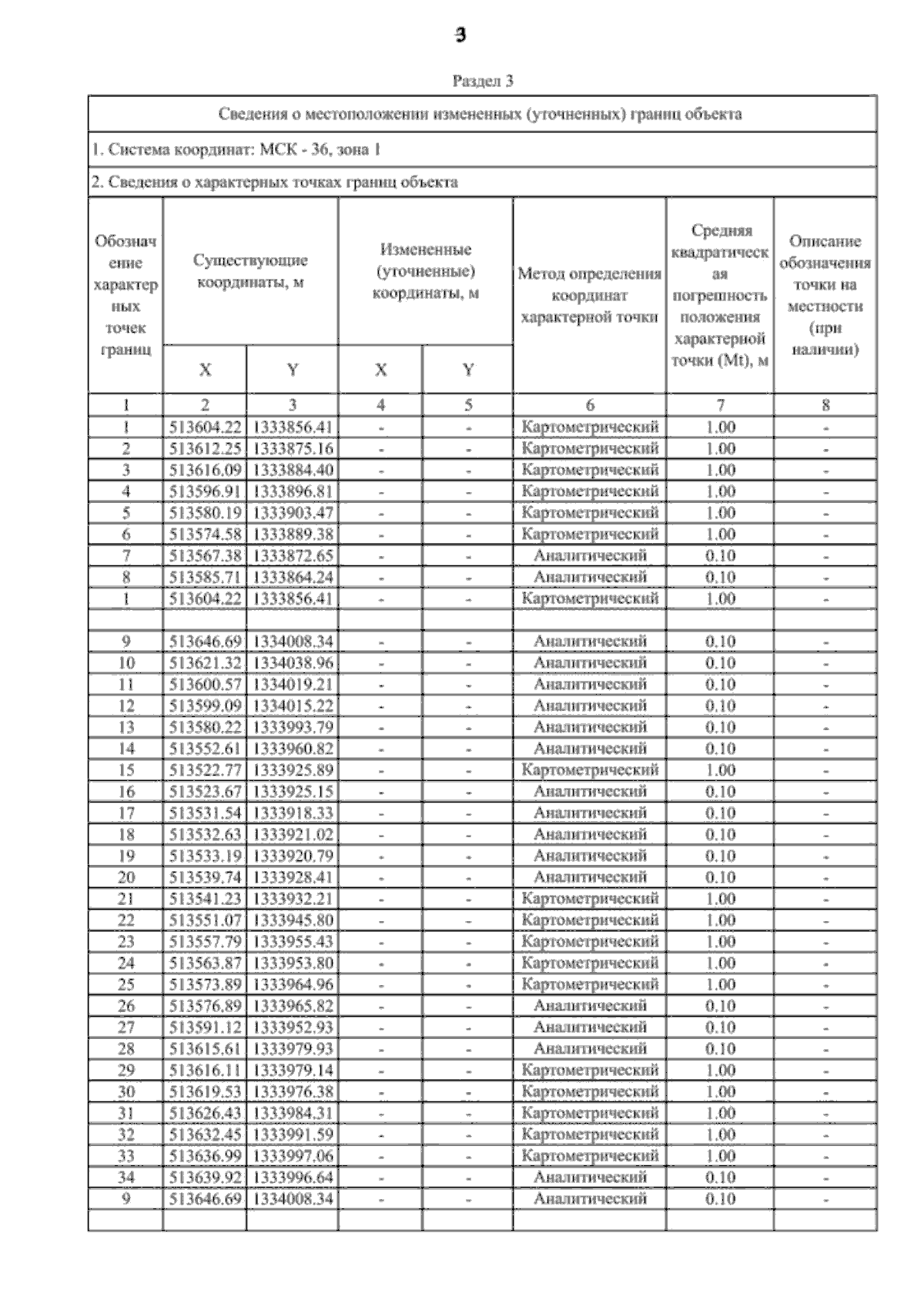
Приказ министерства архитектуры и градостроительства Воронежской области от 24.07.2024 № 45-01-04/284
"О внесении изменений в правила землепользования и застройки Рождественско-Хавского сельского поселения Новоусманского муниципального района Воронежской области"
(Зарегистрирован 30.07.2024 № 831)
Номер опубликования: 3601202408010002
Дата опубликования: 01.08.2024
Страница №55 из 102:
Увеличить