Официальное опубликование правовых актов
ОФИЦИАЛЬНОЕ ОПУБЛИКОВАНИЕ
Приказ министерства архитектуры и градостроительства Воронежской области от 25.07.2024 № 45-01-04/286
"О внесении изменений в правила землепользования и застройки городского поселения - город Павловск Павловского муниципального района Воронежской области"
(Зарегистрирован 30.07.2024 № 832)
Номер опубликования: 3601202408010001
Дата опубликования: 01.08.2024
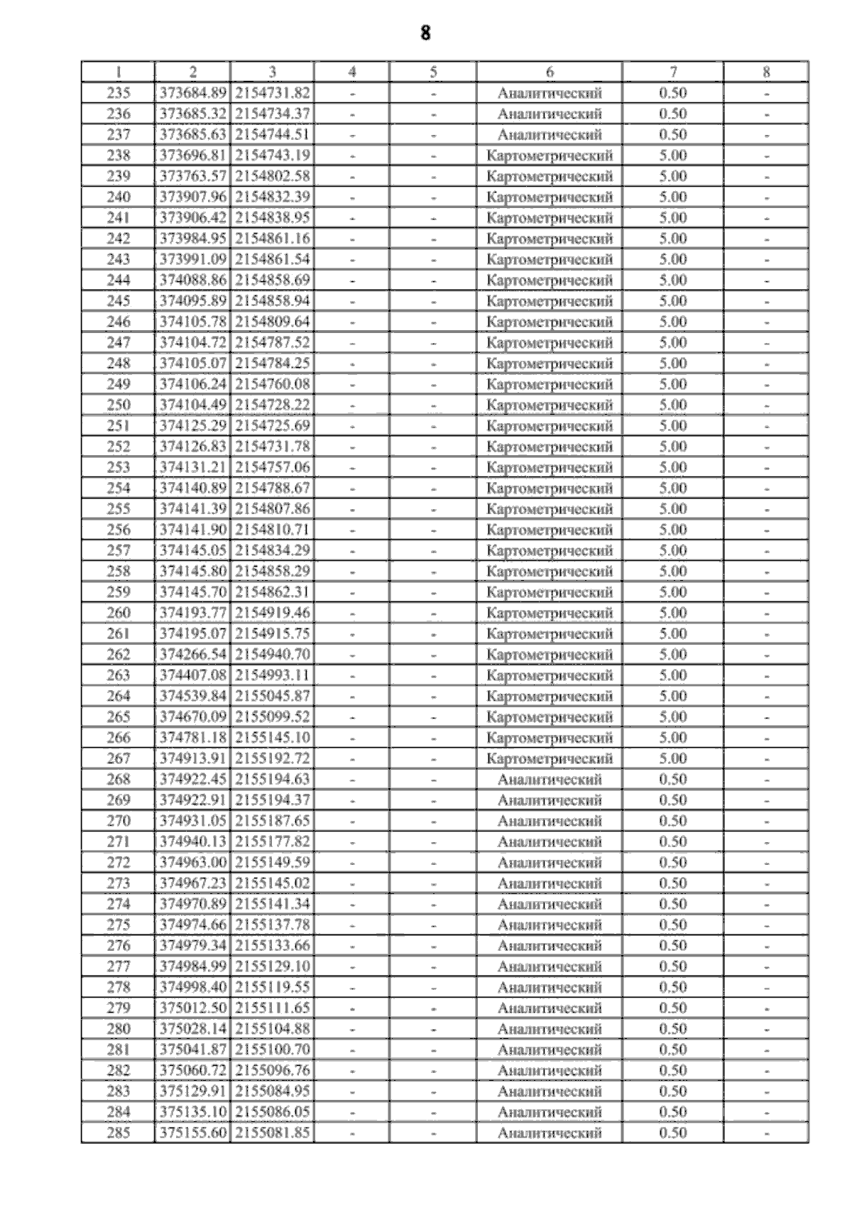
Страница №129 из 144:
Увеличить