Официальное опубликование правовых актов
ОФИЦИАЛЬНОЕ ОПУБЛИКОВАНИЕ
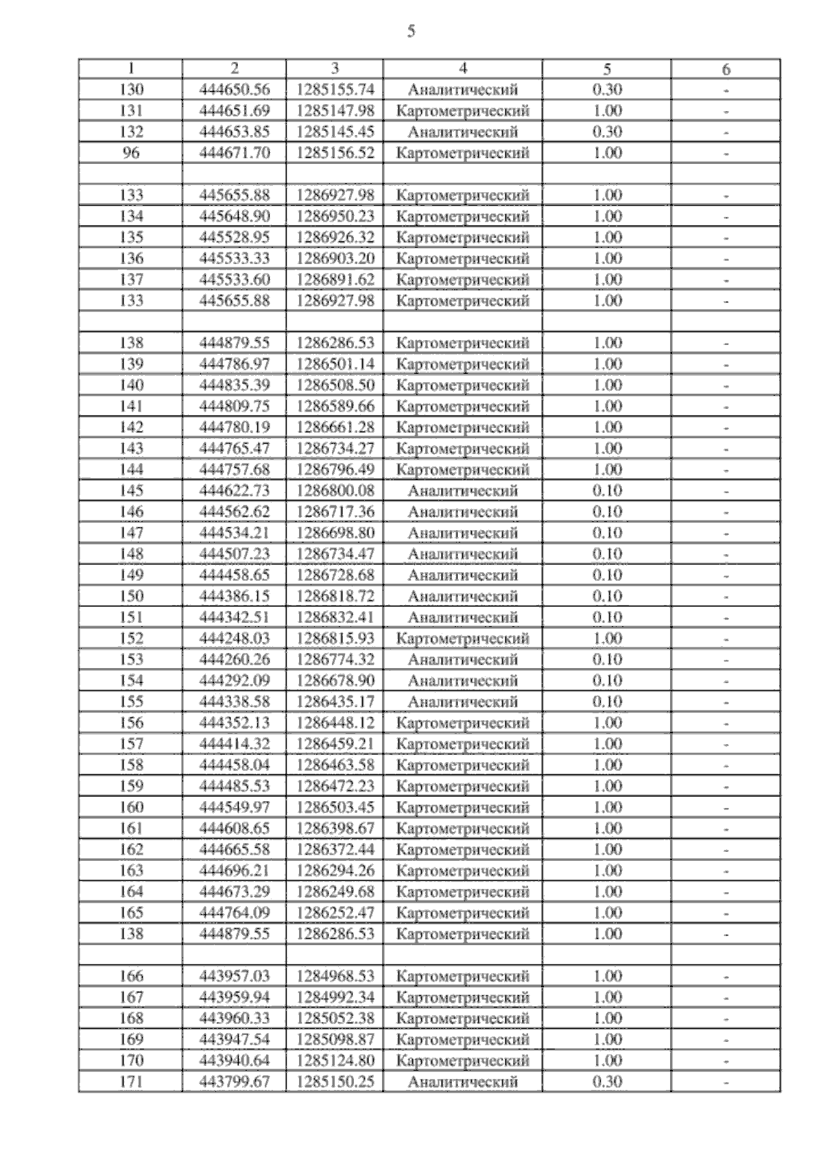
Приказ министерства архитектуры и градостроительства Воронежской области от 15.07.2024 № 45-01-04/265
"О внесении изменений в правила землепользования и застройки Солдатского сельского поселения Острогожского муниципального района Воронежской области"
(Зарегистрирован 19.07.2024 № 803)
Номер опубликования: 3601202407220005
Дата опубликования: 22.07.2024
Страница №32 из 37:
Увеличить