Официальное опубликование правовых актов
ОФИЦИАЛЬНОЕ ОПУБЛИКОВАНИЕ
Приказ министерства архитектуры и градостроительства Воронежской области от 16.07.2024 № 45-01-04/273
"О внесении изменений в правила землепользования и застройки городского поселения — город Россошь Россошанского муниципального района Воронежской области"
(Зарегистрирован 22.07.2024 № 808)
Номер опубликования: 3601202407220001
Дата опубликования: 22.07.2024
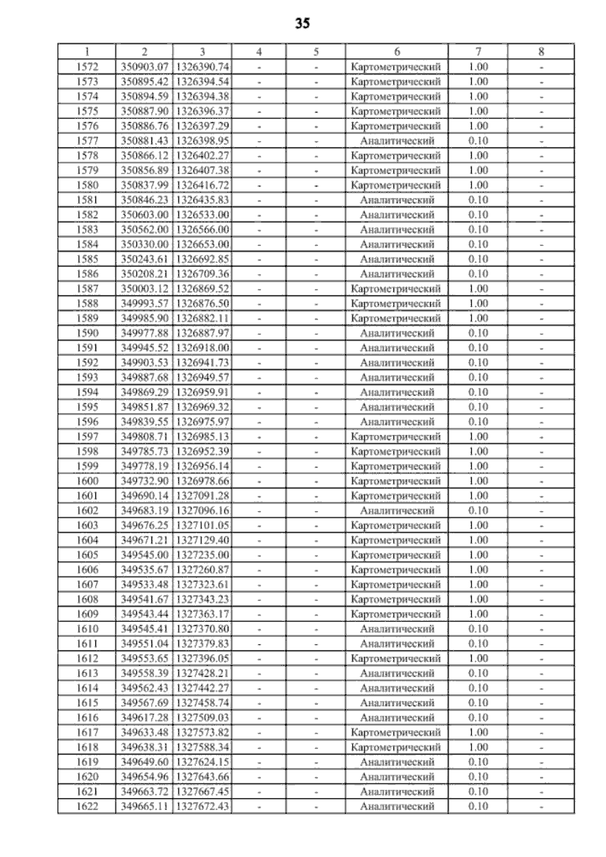
Страница №383 из 407:
Увеличить