Официальное опубликование правовых актов
ОФИЦИАЛЬНОЕ ОПУБЛИКОВАНИЕ
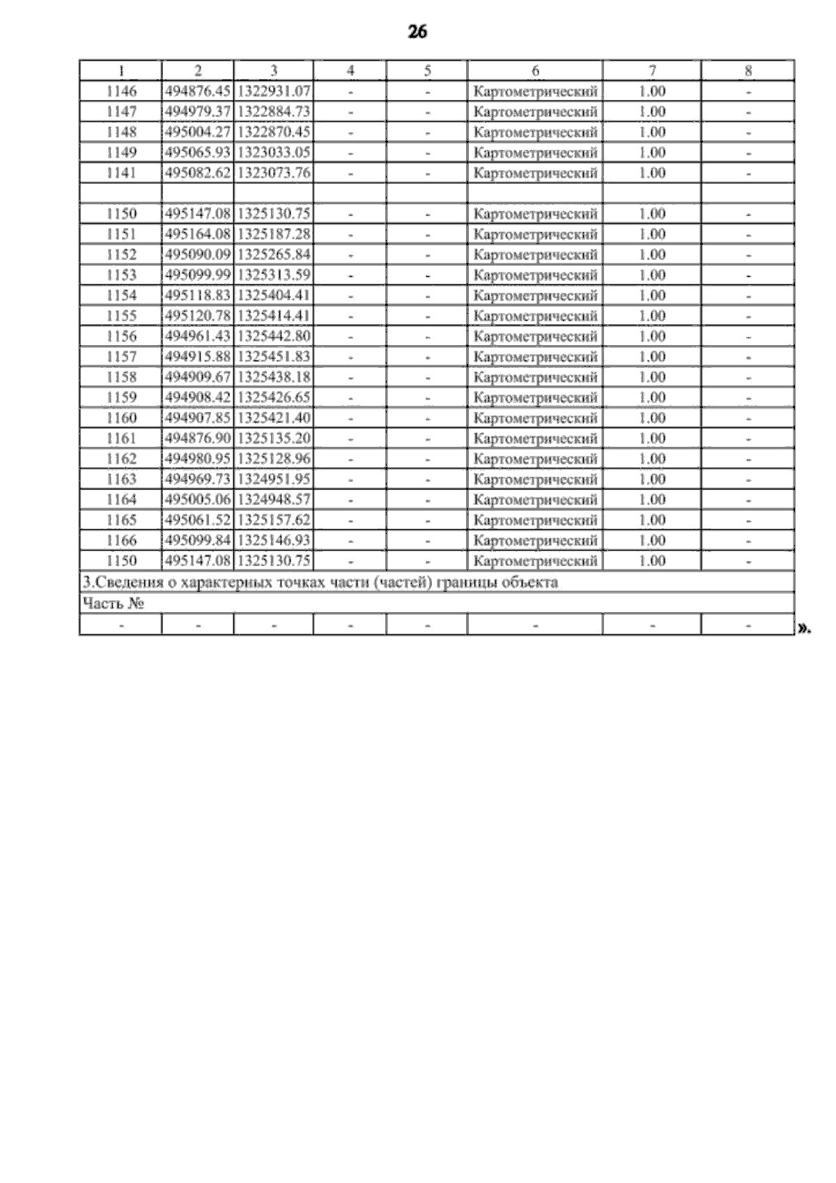
Приказ министерства архитектуры и градостроительства Воронежской области от 11.07.2024 № 45-01-04/257
"О внесении изменений в правила землепользования и застройки Рогачёвского сельского поселения Новоусманского муниципального района Воронежской области"
(Зарегистрирован 17.07.2024 № 792)
Номер опубликования: 3601202407180003
Дата опубликования: 18.07.2024
Страница №60 из 70:
Увеличить