Официальное опубликование правовых актов
ОФИЦИАЛЬНОЕ ОПУБЛИКОВАНИЕ
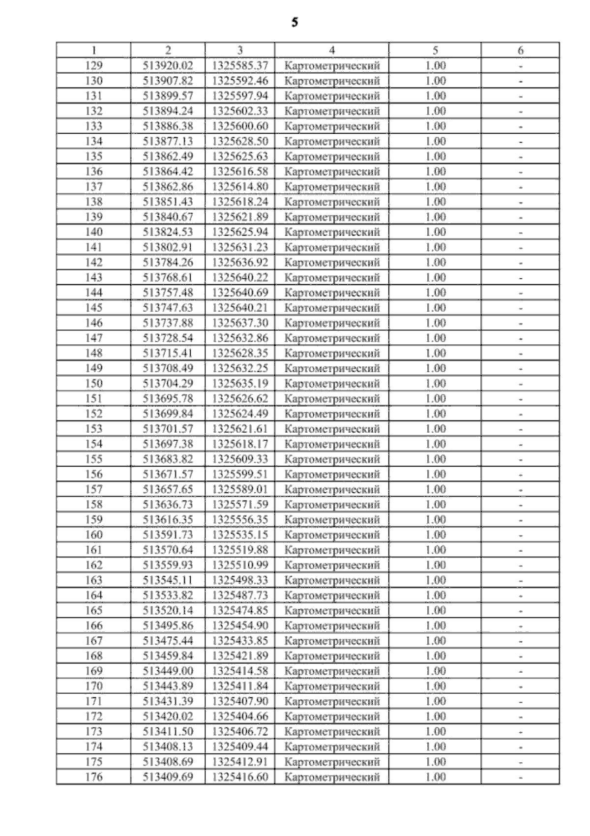
Приказ министерства архитектуры и градостроительства Воронежской области от 02.07.2024 № 45-01-04/238
"О внесении изменений в правила землепользования и застройки Хреновского сельского поселения Новоусманского муниципального района Воронежской области"
(Зарегистрирован 10.07.2024 № 757)
Номер опубликования: 3601202407110002
Дата опубликования: 11.07.2024
Страница №37 из 162:
Увеличить