Официальное опубликование правовых актов
ОФИЦИАЛЬНОЕ ОПУБЛИКОВАНИЕ
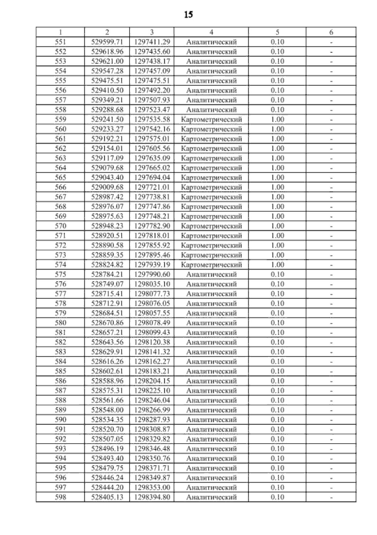
Приказ министерства архитектуры и градостроительства Воронежской области от 28.06.2024 № 45-01-04/229
"О внесении изменений в правила землепользования и застройки Яменского сельского поселения Рамонского муниципального района Воронежской области"
(Зарегистрирован 09.07.2024 № 756)
Номер опубликования: 3601202407110001
Дата опубликования: 11.07.2024
Страница №49 из 396:
Увеличить